2015年造價工程師考試常用公式說明2
特別推薦:環球造價工程師精彩視頻免費學※ 全程領跑※ 在線估分
資金的時間價值
1、一次支付終值公式
已知:在第一年投入資金P,以年利率i進行復利計算,問第n年末的本利和F?

式中:
稱為復利終值系數,
表示
則
例:某企業向銀行借款100萬元,年利率為7%,5年后償還?

2、一次支付現值公式
已知:欲在n年后取出款金額F,銀行利率i進行復利計算,現在應付P?

式中:
稱為復利終值系數,
表示
則
例:某企業兩年后擬從銀行取出50萬元,假定年利率為8%,現應存多少?

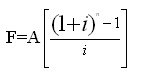
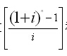
3、等額年終值公式:
在經濟活動期內,每單位時間間隔里具有相同的收入與支出(年等值)。設在n個時間周期內,每個時間周期末支出(或收入)相同的金額A,并在投資期末將資金全部收入(或支出)。
年終值公式:
系數稱為等額年終值公式系數,記為
故:
例:連續每年年末投資1000元,年利率為6%,到第五年末可得本利和?
若發生在年初,則
=(1+0.06)×F=5975.22(元)
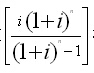
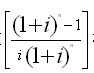
4、等額存儲償債基金公式:
已知:一筆n年末的借款F,擬在1至n年末等額存儲一筆資金A,以便到n年期末償還債務F,問A?
系數稱為償債資金系數,記為
故:
例:為了在五年末獲得5637元的資金,當資金利率為6%,每年末應存款多少?

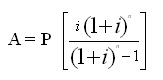
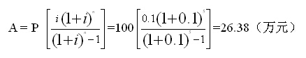
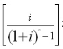
5、等額支付資金回收公式:
現投入一筆資金P,希望今后n年內將本利和在每年末以等額A的方式回收,問A?

系數
稱為償債資金系數,記為
故:
例:現投資100萬元,預期利率為10%,墳年回收,每年可回收多少?

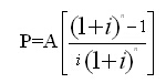
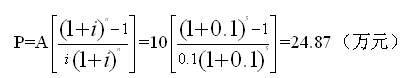
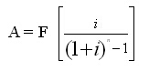
6、等額年現金值公式:
已知:n年內每年年末有一筆等額的收入(支出)A,求現值P?

系數
稱為償債資金系數,記為
故:
例:某公司擬投資一個項目,預計建成后每年獲利10萬元,3年后回收全部投資的利和,設貸款利率為10%,問該項目總投資為多少?

實際利率與名義利率
1、名義利率計算:在一年內,不考慮多次計息中利息產生的利息,此時資金的年利率成為名義利率;
2、實際利率:以計息周期利率來計算年利率,考慮了利息的時間價值(利息);
設:名義利率為i,實際利率為r,m為一年內資本計息次數;
可得:
若按名義利率i存入一筆資金,每年計息m次,共存n年,則可得本利和為?

例:1000元3年存款期,名義利率為8%,則:
1)單利:F= P(1+i.n)=1000(1+0.08×3)=1240(元)
2)年復利:
3)季復利:
環球網校友情提示:如果您在此過程中遇到任何疑問,請登錄環球網校造價工程師考試頻道及論壇,環球網校造價師考試交流群384019082,歡迎您的加入,隨時與廣大考生朋友們一起交流!
更多造價工程師信息:
編輯推薦:
最新資訊
- 備考必看:一級造價師《安裝計量》十大核心知識點總結2025-11-02
- 速看!一級造價師《土建計量》十大核心考點總結2025-11-01
- 免費分享:一級造價師《工程計價》十大核心考點總結2025-10-31
- 一鍵收藏:一級造價師《造價管理》十大核心考點總結2025-10-30
- 免費分享:2025年一級造價師《工程計價》考點匯總2025-10-29
- 2025年一級造價師《工程計價》考試難度及考點分析2025-10-28
- 免費分享:2025年一級造價師《造價管理》考點匯總2025-10-27
- 免費分享:2025年一級造價師案例分析重要考點匯總2025-10-27
- 2025年一級造價師《造價管理》重點考查內容2025-10-24
- 深度解析:2025年一級造價師案例考試難度及考察重點2025-10-23