2015年造價工程師考試常用公式說明1
特別推薦:環球造價工程師精彩視頻免費學※ 全程領跑※ 在線估分
資金時間價值是資金社會再生產過程所產生的增值,是指貨幣隨著時間的推移而發生的增值,是資金周轉使用后的增值額,實質是勞動者創造的剩余價值。
一、資金成本
1、資金成本可以用絕對數表示,也可以用相對數表示。
K= 
其中:K資金成本率(一般統稱為資金成本)
P籌集資金總額 D使用費 F籌資費
f籌資費費率(即籌資費占籌集資金總額的比率)
2、各種資金來源的資金成本計算
1)普通股成:如果普通股各年份的股利固定不變,則
Kc=
=
=![]()
其中:Kc普通股成本率 普通股股票面值或時常總額
D每年固定股利總額(i為股利率) f籌資費率
2)優先股成本:

其中:Kp優先股成本率 Dp優先股每年股息
Po優先股票面值 i股息率 f籌資費率
例:某企業發行優先股股票,票面額按正常市場價計算為300萬元,籌資率為4%,股息年利率為15%,則其成本率為多少?

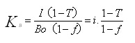
3)債券成本:企業發行債券后,所支付的債券利息是列入企業的成本開支的,因而使企業少繳一部分所得稅,兩者抵消后,實際上企業支付的債券利息僅為:債券利息:債券利息×(1-所的稅稅率)

其中:KB債券成本率 Bo債券發行總額
I債券年利息總額 f籌資費率
T所得稅稅率 i債券年利息率
例:某企業發行長期債券500萬元,籌資費率為3%,債券利息率為13%,所得稅稅率為33%,則起成本率為多少?

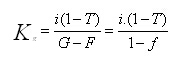
4)銀行借款:企業所支付的利息和費用一般可作為企業的費用開開支,相應減少部分利潤,會使企業少繳納一部分所得稅,因而使企業的實際支出相應減少。
對每年年末支付利息,貸款期末一次全部還本的的借款,其借款成本率:

其中:Kg借款成本率 G貸款總額
I貸款年利息(i為貸款年利息) F貸款費用
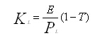
5)租賃成本:將租賃成本列入企業成本,可以減少應付所得稅:

其中: 租賃成本率 租賃資產價值
E年租金額 T所得稅稅率
例:某企業租入施工機械一臺,價值50萬元,年租金10萬元沒,所得稅稅率33%,計算租賃成本率?

二、利率
利率也稱為利息率,是單位時間內利息量和本金的比率

其中:i利率 L單位時間內的利息 P本金
單位時間也稱為計息周期,通常為一年,但也有以半年、季度、月甚至周為單位。
三、資金利息計算
1、單利計算:僅用本金計算利息,不計算利息所產生的利息(私人多年定期存款中,銀行不將第一年所獲得利息轉入到后一年本金去)。
利息發生在計息周期末。如果有n個計息周期,則
L=P×i×n
到投資期末,本金與利息之和(本利和),則
F=P(1+i.n)
其中:n計息周期數 F本利和
例:某人存入銀行1000元,定期為3年,年利率為13%,3年后本利和為?
F=P(1+i.n)=1000(1+0.13×3)=1390元
2、復利計算:除了本金利息外,還要計算利息產生的利息。
例:某人存入銀行1000元,定期為3年,年利率為13%,3年后本利和為?
若采用復利計算則:F=P(1+i.n)3=1000(1+0.13×1)3=1442.89(元)
環球網校友情提示:如果您在此過程中遇到任何疑問,請登錄環球網校造價工程師考試頻道及論壇,環球網校造價師考試交流群384019082,歡迎您的加入,隨時與廣大考生朋友們一起交流!
更多造價工程師信息:
編輯推薦:
最新資訊
- 備考必看:一級造價師《安裝計量》十大核心知識點總結2025-11-02
- 速看!一級造價師《土建計量》十大核心考點總結2025-11-01
- 免費分享:一級造價師《工程計價》十大核心考點總結2025-10-31
- 一鍵收藏:一級造價師《造價管理》十大核心考點總結2025-10-30
- 免費分享:2025年一級造價師《工程計價》考點匯總2025-10-29
- 2025年一級造價師《工程計價》考試難度及考點分析2025-10-28
- 免費分享:2025年一級造價師《造價管理》考點匯總2025-10-27
- 免費分享:2025年一級造價師案例分析重要考點匯總2025-10-27
- 2025年一級造價師《造價管理》重點考查內容2025-10-24
- 深度解析:2025年一級造價師案例考試難度及考察重點2025-10-23