一級建筑師考試建筑結構輔導講義2
(二)偏心受力構件
偏心受力構件分為兩種:偏心受拉和偏心受壓構件。
1.偏心受拉構件
(1)定義:構件承受的拉力作用點與構件的軸心偏離,使構件產生既受拉又受彎時, 即為偏心受拉構件(亦稱拉彎構件)。常見于屋架下弦有節間荷載時。
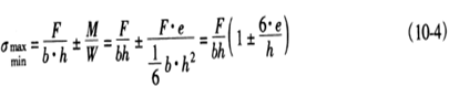
(2)構件的受力狀態
由上圖可知其截面產生的應力是由兩種應力疊加的,其邊沿應力公式為:
構件的承載能力應滿足σmax≤[σ]
σmax―邊沿最大拉應力;
σmin―邊沿最小拉應力;
W――截面抵抗矩。
由上式可見在受同樣的外拉力時偏心受拉構件,其應力要比軸心受拉構件,增大許 多,因此在結構設計應盡量避免出現這種構件。
2.偏心受壓構件
(1)定義:構件承受的壓力作用點與構件的軸心偏離,使構件產生既受壓又受彎時即 為偏心受壓構件(亦稱壓彎構件)。常見于屋架的上弦桿、框架結構柱,磚墻及磚垛等。
(2)構件的受力狀態

截面產生的邊沿應力公式為:
σmax―邊沿最大壓應力;
σmin―邊沿最小壓應力。
由上式可見,在受同樣的壓力F時,當作用點與截面軸心偏離時,截面內的壓應力增加甚多,而且當偏心距較大時截面內除壓應力外將產生一部分拉應力。在實踐中尚有雙向偏心構件。
(三)受彎構件
1.定義
當一水平構件在跨間承受荷載,使其產生彎曲,構件將產生彎矩和剪力,截面內將產 生彎曲應力和剪應力。這種構件即稱為受彎構件。這是結構設計中最常見的構件。
2、受彎構件的受力狀態
(1)簡支梁在不同荷載作用下的彎矩M及剪力V(圖10-6);
(2)多跨連續梁在均布荷載作用下的彎矩和剪力(圖10-7)。

在跨度范圍內彎矩和剪力都是變化的。
(3)梁截面內的應力分布
1)彎曲應力(圖10-8)

+σmax―邊沿最大拉應力;
―σmax―邊沿最大壓應力。
彎曲應力沿截面高度為三角形分布,中和軸處應力為零;向下彎曲時(順時針)中和軸以上為壓應力,中和軸以下為拉應力;向上彎曲時(逆時針),中和軸以上為拉應力,以下為壓應力。
2)剪應力
剪應力在截面上的分布也是不均勻的,其分布規律如圖10-9。

I――截面慣性矩;
S――計算點以上截面對中和軸的面積矩。
a.剪應力在梁高方向的分布是中和軸處最大,以近拋物線的形狀分布,在截面邊沿處剪應力為零。
b.沿梁長度方向,支座處剪力最大,剪應力也最大。
c.截面的抗剪主要靠腹板(即梁的截面中部)。
(4)受彎構件的變形

受彎構件在荷載作用下要產生彎曲,于是將產生彎曲變形,使梁產生撓度。
1)梁的撓度跨中最大。
2)撓度的大小與正彎矩成正比。
3)跨度相同、荷載相同時,簡支梁的撓度比連續梁、二端固定或一端固定一端簡支的梁要大。
4)撓度的大小與梁的EI成反比。
(5)受彎構件的設計要點
1)要滿足彎曲應力不超過材料的強度設計值。即最大彎矩處的最大彎曲應力必須小于強度設計值。
2)梁內最大剪力的斷面平均剪應力不超過材料抗剪的設計值。
3)梁的最大撓度值不得超過規范規定的數值。
(四)幾種基本構件的比較
上述幾種基本構件的合理應用,就能取得合理的結構設計。
1.軸心受拉構件是受力最好的構件
(1)最能充分發揮材料性能。因在外力作用下,沿構件全長及截面的內力及應力都是均勻分布。
(2)在承受相同的荷載下,與受壓和受彎構件相比所需的斷面最小。
(3)只有具有最多數量的軸拉構件和較少軸壓和受彎構件組成的結構體系才是最省材料和經濟合理的體系。
2.軸壓構件
承載力受穩定的影響,故應避免長桿受壓,設計時要特別注意側向穩定。
3.偏心受壓構件
在相同截面下,因受偏心彎矩的影響,其承載力將隨偏心距的加大而大為減小。而且也要考慮側向穩定的影響。
4.受彎構件
(1)構件內的內力不均勻分布,因此不能充分發揮材料的作用。
(2)還存在變形能否滿足要求的問題,有時雖已滿足強度要求,變形不能滿足時,則應按變形要求增大構件斷面尺寸。
最新資訊
- 2026年一級建筑師《建筑經濟施工與設計業務管理》考點2025-12-01
- 2026年一級建筑師《建筑材料與構造》考點:地基與基礎2025-11-04
- 2026年一級建筑師高頻考點:關于不穩定傳熱2025-10-07
- 2026年一級建筑師高頻考點:建筑材料的分類2025-10-02
- 2026年一級建筑師《建筑設計》考點:公共建筑的總體環境布局2025-09-28
- 2026年一級建筑師《設計前期與場地設計》考點:城鄉規劃2025-09-24
- 2026年一級建筑師《設計前期與場地設計》高頻考點:民用建筑選址2025-09-07
- 2026年一級建筑師《設計前期與場地設計》高頻考點:基地出入口2025-08-21
- 2026年一級注冊建筑師高頻考點:建筑控制線2025-08-17
- 免費直播:2025年一級建筑師考試真題及解析(5.17考試)2025-05-20