一級建筑師考試建筑結構輔導講義1
第一節 概 述
一、建筑結構的總概念
(一)建筑結構的定義
建筑物用來形成一定空間及造型,并具有抵御人為和自然界施加于建筑物的各種作用 力,使建筑物得以安全使用的骨架,即稱為結構。
(二)建筑結構的組成
建筑結構一般都是由以下結構構件組成的;
1,水平構件
用以承受豎向荷載的構件。一般有:
(1)板。包括平板、曲面板、斜板;
(2)梁。直梁、曲梁、斜梁;
(3)桁架、網架等。
2.豎向構件
用以支承水平構件或承擔水平荷載的構件。一般有:
(1)柱;
(2)墻體;
(3)框架。
3.基礎
用以將建筑物所承受的所有荷載傳至地基上。
(三)建筑結構的類型
1.按組成建筑結構的主要建筑材料劃分
(1)鋼筋混凝土結構;
(2)砌體結構:磚砌體,石砌體,小型砌塊,大型砌塊,多孔磚砌體等;
(3)鋼結構;
(4)木結構;
(5)塑料結構;
(6)薄膜充氣結構o
2.按組成建筑結構的主體結構形式劃分
(1)墻體結構:以墻體作為支承水平構件及承擔水平力的結構;
(2)框架結構;
(3)框架-剪力墻(抗震墻);
(4)筒體結構;
(5)桁架結構;
(6)拱形結構;
(7)網架結構;
(8)空間薄壁結構(包括:薄殼、折板、幕式結構);
(9)鋼索結構(懸索結構);
(10)薄膜結構。
3.按組成建筑結構的體形劃分
(1)單層結構(多用于單層廠房、食堂、影劇場、倉庫等);
(2)多層結構(2―6層);
(3)高層結構(一般為7層以上);
(4)大跨度結構(跨度在40―
此外尚可按建筑結構的受力特點劃分為:平面結構體系與空間結構體系兩大類。
二、建筑結構基本構件與結構設計
組成結構體系的單元體稱為基本構件。按受力特征來劃分主要有以下三類:軸心受力 構件、偏心受力構件和受彎構件。
按其主要受力性質常常又劃分為:拉桿、壓桿和受彎構件。
(一)軸心受力構件
當構件所受外力的作用點與構件截面的形心重合時,則構件橫截面產生的應力為均勻 分布,這種構件稱為軸心受力構件??煞譃椋?/SPAN>
1. 軸心受拉構件

構件所受的力,使構件橫斷面僅產生均勻拉應力時即為軸心
受拉構件。常用于桁架的下弦桿及受拉斜腹桿。
如圖構件內的應力
此構件的承載能力為σ1≤[σ]
[σ]―材料的允許應力。
這種構件最能充分發揮材料的強度。
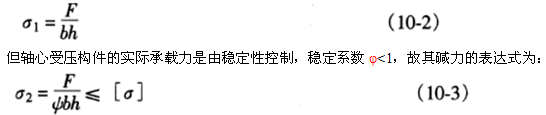
2. 軸心受壓構件

外力以壓力的方式作用在構件的軸心處,使構件產生均勻壓應力時,即為軸心受壓構件。
其截面應力為:

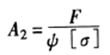
這是因為受壓構件承載時,截面應力尚未達到材料的強度設計值前就會因彎折而失去 承載能力這種現象稱為喪失穩定性。上式中的φ值即為按穩定考慮的承載力與強度承載 力的比值,稱為穩定系數。
由此可見相同材料的拉桿與壓桿受同樣的荷載F作用時,拉桿所需的截面尺寸要比 壓桿小。
拉桿所需截面為
壓桿所需截面為:
[α]―材料的強度設計值(即允許應力)。
φ<1, 故A2>A1
φ值與桿件的長細比λ有關;λ=l0/i
l0―桿件計算長度,
i――截面的回轉半徑;
I――截面的慣性矩,矩形截面時
λ越大,φ越小。則實際承載力越小。
一般提高壓桿承載力的措施為:
(1)選用有較大i值的截面,即面積分布盡量遠離中和軸;
(2)改變柱端固接條件或增設中間支承以改變桿件計算長度l0。
最新資訊
- 2026年一級建筑師《建筑經濟施工與設計業務管理》考點2025-12-01
- 2026年一級建筑師《建筑材料與構造》考點:地基與基礎2025-11-04
- 2026年一級建筑師高頻考點:關于不穩定傳熱2025-10-07
- 2026年一級建筑師高頻考點:建筑材料的分類2025-10-02
- 2026年一級建筑師《建筑設計》考點:公共建筑的總體環境布局2025-09-28
- 2026年一級建筑師《設計前期與場地設計》考點:城鄉規劃2025-09-24
- 2026年一級建筑師《設計前期與場地設計》高頻考點:民用建筑選址2025-09-07
- 2026年一級建筑師《設計前期與場地設計》高頻考點:基地出入口2025-08-21
- 2026年一級注冊建筑師高頻考點:建筑控制線2025-08-17
- 免費直播:2025年一級建筑師考試真題及解析(5.17考試)2025-05-20