2013年經濟師考試《中級金融》輔導筆記:“利率與金融資產定價(6)”
二、資產定價理論
(一)有效市場理論
1.有效市場假說主要研究信息對證券價格的影響。
就資本市場而言,如果資產價格反映了所能獲得的全部信息,那么,資本市場是有效的。
2.按照市場價格反映信息的程度將市場分類:
(1)弱式有效市場
即當前市場價格完全反映了過去(歷史)的信息。新信息會帶來價格的變動。掌握過去信息不能預測未來的價格變動。
(2)半強式有效市場
指證券當前價格不僅反映所有歷史信息,還反映公開信息。投資者無法憑借公開信息獲利。(但可憑內幕信息獲利)
(3)強式有效市場
即證券當前的市場價格反映了所有歷史的、公開的、內幕信息,任何投資者都只能獲得平均收益,不可能憑借信息優勢獲得超額收益。
(二)資本資產定價理論(CAPM)
基本假設:
(1)投資者根據投資組合在單一投資期內的預期收益率和標準差來評價其投資組合;
(2)投資者追求效用最大化;
(3)投資者是厭惡風險的;
(4)存在一種無風險利率,可以借入或借出任意數額的無風險資產;
(5)稅收和交易費用都忽略不計。
1.資本市場線――有效組合的定價線
(1)資本市場線的構造
資本市場線(CML)只表明有效組合的期望收益率和標準差(表示風險)之間的一種簡單的線性關系的一條射線。
市場組合:由所有證券構成的組合,組合中每一種證券的投資比例為其相對市值。
其中:
為無風險收益率,
為市場投資組合的預期收益,
為市場投資組合的標準差,
為任意有效投資組合的標準差。
CML上的任一點是由無風險資產和市場組合的再組合。
(2)資本市場線的含義
任一有效組合的預期收益率由兩部分構成:①無風險利率
,是對推遲即期消費的補償,體現了貨幣的時間價值;②風險溢價,即對組合承擔風險 的補償,而
為單位風險的補償,即風險的價格。
有效組合的風險溢價:
CML表明:預期收益與風險正相關,即要謀求高收益,只能通過承擔更大風險來實現。
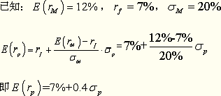
(補充)例:如果市場組合的期望收益率為12%,無風險收益率為7%,市場組合的標準差為20%,則資本市場線如何確定?
【正確答案】
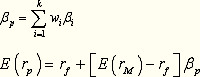
2.證券市場線――任意證券/組合的定價線
SML揭示了市場上所有風險性資產(單個資產)的均衡期望收益率與風險之間的關系。
(1)證券市場線的表達
(基于對市場組合方差的分解)因為單個證券對市場組合風險的貢獻大小取決于該證券與市場組合的協方差大小,因此單個證券的相對風險由:
來衡量。
其中為市場組合(證券市場上所有證券組成的證券組合)風險;為單個證券與市場組合的協方差。
因此,單個證券預期收益率由:
來決定。或:
(2)證券市場線的含義
任一風險證券/組合的預期收益率由兩部分構成:①無風險利率 
,是對推遲即期消費的補償,體現了貨幣的時間價值;②風險溢價,即對組合承擔風險(βi)的補償,而 
為市場組合的風險溢價(單位系統風險的補償)。
單個證券的風險溢價:
例:某公司β系數為1.5,市場組合的收益率為8%,當前無風險利率為3%,則該公司股票的預期收益率為:
【正確答案】

(3)投資組合的
和預期收益率

3.系統風險和非系統風險
總風險=系統風險+非系統風險
(1)系統風險是由宏觀經濟營運狀況或市場結構所引致的風險,不可以通過風險分散規避的風險。資產定價模型中提供了測度系統風險的指標,即風險系數β。
(2)非系統風險指具體經濟單位自身投資和運營方式所引致的風險,是可以通過風險分散規避的風險,又稱特有風險。
(3)β還可以衡量證券實際收益率對市場投資組合的實際收益率的敏感程度。
如果β>1,說明其收益率大于市場組合收益率,屬“激進型”證券;
如果β<1,說明其收益率小于市場組合收益率,屬“防衛型”證券;
如果β=1,說明其收益率等于市場組合收益率,屬“平均型”證券。
小結:
資本市場線――有效組合的定價線:

證券市場線――任意證券/組合的定價線:
(三)期權定價理論
1973年布萊克和斯科爾斯提出了期權定價。
期權定價模型基于無套利均衡的思想。
1.布萊克―斯科爾斯模型的基本假定
(1)無風險利率r為常數
(2)沒有交易成本、稅收和賣空限制,不存在無風險套利機會
(3)標的資產在期權到期前不支付股息和紅利
(4)市場連續交易
(5)標的資產價格波動率為常數
(6)標的資產價格遵從布朗運動
2.布萊克―斯科爾斯模型
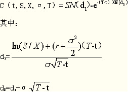
如果股票價格變化遵從幾何布朗運動,那么歐式看漲期權的價格C為:
式中:S為股票價格,X為期權的執行價格,T-t為期權期限,r為無風險利率,e為自然對數的底,σ為股票價格波動率,N(d1) 和N(d2)為d1和 d2標準正態分布的累積概率。
2013年經濟師考試《中級金融》輔導筆記:“利率與金融資產定價(5)”
2013年經濟師考試《中級金融》輔導筆記:“利率與金融資產定價(4)”
2013年經濟師考試《中級金融》輔導筆記:“利率與金融資產定價(3)”
2013年經濟師考試《中級金融》輔導筆記:“利率與金融資產定價(2)”
2013年經濟師考試《中級金融》輔導筆記:“利率與金融資產定價(1)”
最新資訊
- 2020年初中級經濟師《經濟基礎》章節考點匯總2019-11-15
- 2019年初中級經濟師《工商管理》考點匯總2019-10-17
- 2019年初中級經濟師《金融經濟》考點匯總2019-10-15
- 2019年初中級經濟師《建筑經濟》考點匯總2019-10-15
- 2019年初中級經濟師《財政稅收專業》考點匯總(10月12日更新)2019-10-12
- 2019年初中級經濟師《經濟基礎》考點匯總2019-10-10
- 2019年經濟師考試這12個公式必備!2019-09-10
- 2019年全國經濟師考試教材正式出版!2019-07-09
- 2019年經濟師考試備考必背公式集合匯總2019-04-25
- 2019年經濟師考試備考必背公式集合三2019-04-25