2013年經濟師考試《中級金融》輔導筆記:“利率與金融資產定價(1)”
第二章 利率與金融資產定價
第一節 利率的計算
一、利率概述
(一)利率的涵義
1.利率是利息率的簡稱,指借貸期間所形成的利息額與本金的比率,是借貸資本的價格。
2.利率的種類
分類角度 | 分類類別 | |
利率的決定方式 | 固定利率 | |
浮動利率 | ||
利率的真實水平 | 名義利率 | |
實際利率 | ||
借貸主體 | 中央銀行利率(再貼現利率、再貸款利率) | |
商業銀行利率(存款利率、貸款利率、貼現率) | ||
非銀行利率(債券利率、企業利率、金融利率) | ||
計算利率的期限單位 | 年利率 | 年利率=月利率×12=日利率×360 |
月利率 | ||
日利率 | ||
二、單利與復利
利息的計算分單利與復利
(一)單利:是不論借款期限的長短,僅按本金計算利息,上期本金所產生的利息不記入下期計算利息,即利息不重復計算利息的計息方法。其本利和是:
S=P(1+r?n)
其中,S為本利和,P為本金,r為利率,n為存期;我國銀行存款的利息是按單利計算。
I=P?r?n 利息額與本金、利率、時間呈線性關系
例:P=100,r=6%(年利率),n=1、2、3(年)……
則:I1=100?6%?1
I2=100?6%?2=12
I3=100?6%?3=18……
【例1?單選題】投資者用100萬元進行為期5年的投資,年利率為5%,一年計息一次,按單利計算,則5年末投資者可得到的本息和為( )萬元。
A.110
B.120
C.125
D.135
【正確答案】C
【答案解析】本題考查單利計算本息和。100×(1+5%×5)=125萬元。
(二)復利:也稱利滾利,就是將上期利息并入本金并一并計算利息的一種方法。
1.一年付息一次(一年復利一次)
其本利和是:
S=P(1+r)n
其中,S為本利和,P表示本金,r表示利率,n表示時間。
I=S-P=P(1+r)n-P=P[(1+r)n-1]
例:P=100,r=6%(年利率),n=1、2、3(年)……
I1=S1-P1=100(1+6%)-100=6
I2=S2-P2=100(1+6%)2-100=12.36>12
I3=S3-P3=100(1+6%)3-100=19.10>18……
I為利息額。利息額與利率、時間呈非線性關系(只與本金呈線性關系)
期值:在未來某一時點上的本利和,也稱為“終值”。其計算式就是復利本利和的計算式。
單利終值:S=P(1+r?n)
復利終值:S=P(1+r)n
2.一年付息多次(一年復利多次)
例:假設100元的存款以6%的年利率每半年支付一次利息,也就是說6個月的收益是6%的一半,即3%。
6個月末的終值為:FV=100×(1+0.06/2)=103
年末的期值為:100×(1+0.06/2)×(1+0.06/2)=100×(1+0.06/2)2=106.09
說明:第二期比第一期的終值多0.09元,是因為對第一期的3元的利息也計息的結果。如果一年中復利計算的次數增加的話,年末終值會越來越大。
例:上例如果一季計息一次,則年末終值為:100×(1+0.06/4)4=106.14
如果一個月計息一次,則年末終值為:100×(1+0.06/12)12=106.17
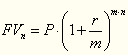
設:本金為P,年利率為r,每年的計息次數為m,則一年末的本息和為:
n年末的本息和為:
【例2?單選題】某人在銀行存入10萬元,期限2年,年利率為6%,每半年支付一次利息,如果按復利計算,2年后的本利和是( )萬元。
A.11.20
B.11.26
C.10.26
D.10.23
【正確答案】B
【答案解析】本題考查年末期值計算公式FVn=P(1+r/m)nm。年利率是6%,每半年支付一次利息,那么2年的本利和就是10×(1+6%/2)4=11.26萬元。
(三)連續復利

表2-1 不同時間連續復利的期值
分類角度 | 分類類別 | |
利率的決定方式 | 固定利率 | |
浮動利率 | ||
利率的真實水平 | 名義利率 | |
實際利率 | ||
借貸主體 | 中央銀行利率(再貼現利率、再貸款利率) | |
商業銀行利率(存款利率、貸款利率、貼現率) | ||
非銀行利率(債券利率、企業利率、金融利率) | ||
計算利率的期限單位 | 年利率 | 年利率=月利率×12=日利率×360 |
月利率 | ||
日利率 | ||
期值變化規律:
(1)每年計息次數越多,終值越大
(2)隨計息間隔的縮短(計息次數的增加),終值以遞減速度增加,最后等于連續復利的終值。
三、現值
現值,也稱在用價值,是現在和將來的一筆支付或支付流在今天的價值。
如果把未來某一時點上一定金額的貨幣看作是現在一定金額的本利和,那么現值就是按現行利率計算出的要取得這樣金額的本利和在眼下所必須具有的本金數。這個逆算出來的本金稱“現值”,也稱“貼現值”。
現值的計算
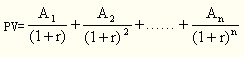
(一)系列現金流的現值
假如我們有一系列的現金流,第一年末是100,第二年未是200,第三年末是200,第四年末是300,若折現率為8%,這一系列現金流的現值可以通過每筆資金現值的加總得到。
第一年末收入的100元的現值:100/(1+8%)=92.59
第二年末收入的200元的現值:200/(1+8%)2=171.47
第三年末收入的200元的現值:200/(1+8%)3=158.77
第四年末收入的300元的現值:300/(1+8%)4=220.51
總現值:643.34
所以,一系列的現金流的現值公式:
Ai表示第i年末的現金流量(Ai相當于FVi),i=1,2,3…,n。
(二)連續復利下的現值
1.一年支付m次利息
假如一年之內支付利息的次數為m次,則利息率為r/m,則此時的現值公式為:

即(2-5)式的逆運算。式中An表示第n年末的現金流量(相當于
),m為年計息次數,r是貼現率。
例:如果三年后可收到100元,貼現率為8%,且一季計息一次,則現在值多少錢?
【正確答案】
2.連續計息的情形(連續復利)
如果式中m趨于∞,則(1+r/m)nm趨于ern,因此,如果連續復利,那么現值的計算公式為:
即(2-6)式的逆運算
例:如果三年后可收到100元,貼現率為8%,連續復利,則現在值多少錢?
【正確答案】
現值變化規律:
(1)每年計息次數越多,現值越小;而每年計息次數越多,終值越大。
(2)隨計息間隔的縮短(計息次數的增加),現值以遞減速度減小,最后等于連續復利的現值。
2013年經濟師考試《中級金融》輔導筆記:“金融市場與金融工具(4)”
2013年經濟師考試《中級金融》輔導筆記:“金融市場與金融工具(3)”
2013年經濟師考試《中級金融》輔導筆記:“金融市場與金融工具(2)”
2013年經濟師考試《中級金融》輔導筆記:“金融市場與金融工具(1)”
2013經濟師《中級金融實務》精講筆記:前言
最新資訊
- 2020年初中級經濟師《經濟基礎》章節考點匯總2019-11-15
- 2019年初中級經濟師《工商管理》考點匯總2019-10-17
- 2019年初中級經濟師《金融經濟》考點匯總2019-10-15
- 2019年初中級經濟師《建筑經濟》考點匯總2019-10-15
- 2019年初中級經濟師《財政稅收專業》考點匯總(10月12日更新)2019-10-12
- 2019年初中級經濟師《經濟基礎》考點匯總2019-10-10
- 2019年經濟師考試這12個公式必備!2019-09-10
- 2019年全國經濟師考試教材正式出版!2019-07-09
- 2019年經濟師考試備考必背公式集合匯總2019-04-25
- 2019年經濟師考試備考必背公式集合三2019-04-25