2012年審計專業相關知識 輔導:二部分三章重點(6)
更新時間:2012-03-19 10:23:57
來源:|0
瀏覽
收藏
二、股票投資決策$lesson$
(一)股票投資的風險
股票投資所承擔的這些風險分為可分散風險和不可分散風險,其詳細介紹參見第一章的相關內容。
根據證券組合風險報酬的理論,股票投資只能對其中的不可分散風險要求風險報酬,根據股票不可分散風險程度大小,投資者可以確定出該股票的必要報酬率。
(二)股票投資的估值
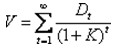
1.股票估值的基本公式
長期持有的股票價值來自于其每期發放的現金股利,股票估值的基本公式為:

Dt――每年的現金股利,它取決于股票發行公司每年的收益和股利發放率
K――股票投資的必要報酬率
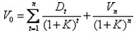
2.有限期持有股票的價值計算公式
除非作為控股目的的股票投資,作為一般證券買賣的股票投資通常不會被無限期持有,因此,股票投資期間的現金流量表現為持有期股票的現金股利收入和持有期結束時出售股票的金額。這種有限期持有的股票估值公式為:

Dt――每年的現金股利,它取決于股票發行公司每年的收益和股利發放率
K――股票投資的必要報酬率
2.有限期持有股票的價值計算公式
除非作為控股目的的股票投資,作為一般證券買賣的股票投資通常不會被無限期持有,因此,股票投資期間的現金流量表現為持有期股票的現金股利收入和持有期結束時出售股票的金額。這種有限期持有的股票估值公式為:

3.零增長公司股票價值的計算公式
V=D/K
4.固定增長公司股票估值的計算公式

(三) 股票投資收益率的估計
1.零增長公司股票投資收益率的計算公式
2.固定增長公司股票投資收益率的計算公式
2012年審計師網絡輔導招生簡章 轉自環球網校edu24ol.com
最新資訊
- 2020年初中級審計師考試大綱匯總(4月30日更新)2020-04-30
- 2019年審計師教材變化匯總(6.27更新完畢)2019-06-27
- 審計師行業動態:邢臺市審計局按需施教加強審計干部培訓2019-04-24
- 2019年審計師考試四個階段通關攻略2019-02-28
- 2018年審計師《企業財務管理》精選筆記財管目標和職能2018-01-24
- 2018年審計師《企業財務管理》精選筆記財管含義和內容2018-01-24
- 2018年審計師《企業財務管理》精選筆記利潤管理2018-01-24
- 2018年審計師《企業財務管理》精選筆記非股份制企業利潤分配2018-01-24
- 2018年審計師《企業財務管理》精選筆記股份制企業利潤分配2018-01-24
- 2018年審計師《企業財務管理》精選筆記利潤及其分配管理2018-01-24

