2015證券從業資格《投資分析》模擬測試一[答案]
答案及解析
一、單項選擇題
1.C。【解析】在投資決策時,投資者應當正確認識每一種證券在風險性、收益性、流動性和時間性方面的特點,借此選擇風險性、收益性、流動性和時間性同自己的要求相匹配的投資對象,并制定相應的投資策略。
2.C。【解析】證券投資分析有三個基本要素:信息、步驟和方法。
3.D。【解析】在股票下跌之前,可以投資于股票(高風險資產)的金額:3×(90-70)=60(萬元),其余30萬元投資于國債。股票下跌20%后 (股票市值變為48萬元),總資產=48+30=78(萬元),此時,投資股票的金額相應變為:3×(78-70)=24(萬元),投資國債的金額變為:78-24=54(萬元)。
4.B。【解析】消極投資策略,包括指數化投資策略、久期免疫策略、現金流匹配策略、階梯形組合策略、啞鈴型組織策略等。A、C、D項屬于積極投資策略。
5.C。【解析】根據《中華人民共和國證券法》的規定,證券交易所是為證券集中交易提供場所和設施,組織和監督證券交易、實行自律管理的法人。主要負責提供證券交易的場所和設施,制定證券交易所的業務規則,接受上市申請,安排證券上市,組織、監督證券交易,對會員、上市公司進行監管等事宜。調查、處罰證券市場上的違法違規行為是證券監管部門的職責。
6.C。【解析】作為信息發布主體,上市公司所公布的有關信息是投資者對其證券進行價值判斷的最重要來源。
7.C。
8.C。【解析】債券交易中,報價是指每100元面值債券的價格,分為全價報價和凈利報價兩種。
9.A。【解析】根據定義,債券的貼現率是投資者對該債券要求的最低回報率,也稱為必要回報率。其計算公式為:債券必要回報率=真實無風險收益率+預期通貨膨脹率+風險溢價。
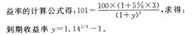
10.B。【解析】因為該債券為一次還本利息,根據到期收

11.D。【解析】拱形利率曲線表示期限相對較短的債券,利率與期限呈正向關系;期限相對較長的債券,利率與期限呈反向關系。
12.B。【解析】內部收益率是指使得投資凈現值等于零的貼現率,實。際上是使得未來股息流貼現值恰好等于股票市場價格的貼現率。
13.C。【解析】期貨的理論價格公式如下:設t為現在

14.B。【解析】轉換平價=可轉換證券的市場價格/轉換比例=1 000/50=20(元)。當該公司普通股股票市場價格超過20元時,即可轉換證券持有人轉股前所持有的可轉換證券的市場價值小于實施轉股后所持有的標的股票資產的市價總值,因此如不考慮標的股票價格未來變化,此時轉股對持有人有利。當該公司普通股股票市場價格為30元時,該可轉換債券的轉換價值一標的股票市場價格×轉換比例=30×50=1 500(元)。
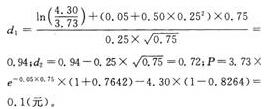
15.D。【解析】由認沽權證的理論價值的公式可得:

編輯推薦:
環球網校友情提示:如果您在此過程中遇到任何疑問,請登錄環球網校證券從業資格頻道或論壇,隨時與廣大考生朋友們一起交流!
16.A。【解析】在一個時期內,國際儲備中可能發生較大變動的主要是外匯儲備。
17.A。【解析】GDP的計算公式有以下形式:
(1)GDP=GNP-本國居民在國外的收入+外國居民在本國的收入=GNP-(本國生產要素在國外取得的收入-本國付給外國生產要素的收入)=GNP-國外要素收入凈額;(2)GDP=C+I+G+(X-M)。
18.B。【解析】惡性通貨膨脹是指三位數以上的通貨膨脹。
19.C。【解析】財政向銀行借款彌補赤字,如果銀行不因此而增發貨幣,只是把本來應該增加貸款的數量借給財政使用,那么財政赤字同樣不會使需求總量增加。
20.A。【解析】中國證監會于2001年4月4日公布了《上市公司行業分類指引》。它是以中國國家統計局《國民經濟行業分類與代碼》(國家標準GB/T4754--94)為主要依據,借鑒聯合國國際標準產業分類、北美行業分類體系有關內容的基礎上制定而成的。
21.A。【解析】新《國民經濟行業分類》國家標準(GB/T4754--2002)將國民經濟分為行業門類20個,行業大類95個,行業中類396個,行業小類913個。
22.D。【解析】壟斷競爭型市場中有大量企業,但沒有一個企業能有效影響其他企業的行為。該市場結構中,造成壟斷現象的原因是產品差別,造成競爭現象的是產品同種,即產品的可替代性。
23.A。【解析】根據行業成長的定義,行業的成長實際上就是行業的擴大再生產。成長能力主要體現在以下方面:生產能力和規模的擴張、區域的橫向滲透能力以及自身組織結構的變革能力。
24.C。【解析】根據時間數列自相關系數,便可以對時間數列的性質和特征作出判別。如果所有的自相關系數都近似地等于零,表明該時間數列屬于隨機性時間數列。
25.B。【解析】調查研究法的優點是可以獲得最新的資料和信息,并且研究者可以主動提出問題并獲得解釋,適合對一些相對復雜的問題進行研究時采用。
26.B。【解析】一般認為,公司財務評價的內容主要有盈利能力,其次是償債能力,此外還有成長能力。它們之間大致可按5:3:2來分配比重。
27.D。【解析】在營運指數的計算中,非經營收益涉及處置固定資產、無形資產和其他資產的損失,固定資產報廢損失,財務費用,投資損失等項目。
28.B。【解析】有形資產凈值債務率=

29.A。【解析】財務比率[(現金+交易性金融資產+應收賬款+應收票據)/流動負債]被稱為超速動比率。
30.D。【解析】由總資產周轉率的計算公式可知,其與A、B、C項有關。
編輯推薦:
環球網校友情提示:如果您在此過程中遇到任何疑問,請登錄環球網校證券從業資格頻道或論壇,隨時與廣大考生朋友們一起交流!
31.C。【解析】該公司的營業收入=營業成本÷(1―20%)=20 000(萬元);再根據流動資產周轉率計

32.C。【解析】A項屬于長期償債能力分析指標;B項屬于現金流量分析中的財務彈性分析指標;D項屬于現金流量分析中的獲取現金能力分析指標。
33.D。【解析】今日的AD1=昨日的AD1+當天所有股票中上漲的家數-當天所有股票中下跌的家數=100+70-30=140。
34.A。【解析】詹森指數是指證券組合所獲得的高于市場的那部分風險溢價,從直觀上看,詹森指數代表證券組合與證券市場線之間的落差。
35.D。【解析】0BV線與股價都上升時,可確認上升的趨勢。
36.B。【解析】BIAS是測算股價與移動平均線偏離程度的指標,其基本原理是:如果股價偏離移動平均線太遠,不管是在移動平均線上方或下方,都有向平均線回歸的要求。
37.B。【解析】根據股票的上漲家數和下跌家數的比值,推斷證券市場多空雙方力量的對比,進而判斷出證券市場的實際情況的指標是ADR。
38.D。【解析】PSY是從投資者心理的買賣趨向心理方面,將一定時期內投資者看多或看空的心理事實轉化為數值,來研判股價未來走勢的技術指標。由PSY的計算公式可知,可知本題選D項。
39.B。【解析】KDJ指標又稱隨機指標。
40.D。【解析】根據多空雙方力量對比可能發生的變化,可以知道股價的移動應該遵循這樣的規律:(1)股價應在多空雙方取得均衡的位置上下來回波動; (2)原有的平衡被打破后,股價將尋找新的平衡位置。這種股價移動的規律可用下形式描述:持續整理、保持平衡一打破平衡一新的平衡一再打破平衡一再尋找新的平衡一……
41.C。

42.B。【解析】首先,根據股票現金流估價模型中的不變增長模型,得出A公司股票當前的合理價格P0

43.A。【解析】A項屬于選擇性政策工具。
44.A。【解析】馬柯威茨分別用期望收益率和收益率的方差來衡量投資的預期收益水平和不確定性(風險),建立均值方差模型來闡述如何全盤考慮上述兩個目標,從而進行決策。然而這種方法所面臨的最大問題是其計算量太大。1963年,威廉?夏普提出了一種簡化的計算方法,這一方法通過建立“單因素模型”來實現。
45.B。【解析】如果P位于F與T之間,表明該投資者將全部資產投資于無風險證券F和證券組合T;如果P位于T的右側,表明賣空F,并將所有的資金與原有資金一起全部投資到風險證券組合T上。
編輯推薦:
環球網校友情提示:如果您在此過程中遇到任何疑問,請登錄環球網校證券從業資格頻道或論壇,隨時與廣大考生朋友們一起交流!
46.B。【解析】根據特雷諾指數公式,有:5%=(15%-rF)/1.35,求得:rF=8.25%。
47.B。【解析】題干中描述的是市場內部價差掉換的名義。
48.D。【解析】為了使現貨頭寸的風險被期貨頭寸盡可能完全抵消,需要比較精確地測量二者的漲跌關系。因此,一個證券組合與指數的漲跌關系通常是依據資本資產定價模型予以確定。
49.A。【解析】組合與分解技術又稱為復制技術,即用一種(或一組)金融工具來復制另一種(或一組)金融工具,其要點是使復制組合的現金流與被復制組合的現金流特征完全一致,復制組合與被復制組合可以完全實現對沖。
50.D。【解析】20世紀80年代中期,倫敦銀行出現的金融工程師主要是為公司的風險暴露提供結構化的解決方案。他們采取新的策略研究風險管理,對風險的管理產生了金融工程,因此,金融工程起源于風險管理。風險管理是金融工程的核心內容之一。
51.C。【解析】股指期貨的套利有兩種類型:一是在期貨和現貨之間套利,稱之為期現套利;二是在不同的期貨合約之間進行的價差交易套利,其又可以細分為市場內價差套利、市場問價差套利和跨品種價差套利。
52.D。【解析】股指期貨套利要求股指期貨和股票買賣同步進行,任何時間上的偏差都會造成意料不到的損失。但由于網絡故障、軟件故障、行情劇烈波動或人為失誤導致套利交易僅單方面成交,就會使資產暴露在風險之中。D項屬于資金風險。
53.D。【解析】完全估值法是通過對各種情景下投資組合的重新定價來衡量風險。歷史模擬法和蒙特卡羅模擬法是典型的完全估值法。局部估值法是通過僅在資產組合的初始狀態做一次估值,并利用局部求導來推斷可能的資產變化而得出風險衡量值。德爾塔一正態分布法就是典型的局部估值法。
54.D。【解析】城鄉居民儲蓄存款余額不包括單位存款。
55.A。【解析】2005年4月29目,中國證監會發布《關于上市公司股權分置改革試點有關問題的通知》標志著股權分置改革正式啟動。
56.C。【解析】內部控制以重點防范傳播虛假信息、誤導投資者、無資格執業、違規執業以及利益沖突等風險為目標。因此,從內部控制的角度看,證券投資咨詢業務的規范以執業回避、信息披露和隔離墻等制度為主,其中隔離墻是內控制度的重點。C選項符合題意。
57.B。【解析】《發布證券研究報告暫行規定》對防范發布證券研究報告與證券資產管理業務之間的利益沖突作出規定。該法規規定,證券公司、證券投資咨詢機構應當嚴格執行發布證券研究報告與其他證券業務之間的隔離墻制度,防止存在利益沖突的部門及人員利用發布證券研究報告牟取不當利益。
58.B。【解析】套期保值的原則之一是月份相同或相近原則。故本題選B項。
59.D。【解析】國際通用知識考試包括基礎考試(9小時、3份試卷)和最終資格考試(6小時、2份試卷)。其中,基礎知識考試教材采用瑞士協會所編的教材,其考試課程及內容認可有效期限為5年。
60.C。【解析】2011年1月,證券分析師與投資顧問正式劃分為兩類具有證券投資咨詢執業資格人員后,有關部門將分別制定兩類人員的職業道德準則。在此之前,原使用于證券分析師的職業道德準則對投資顧問應同樣具有執業約束力。由此可知,本題選C項。
編輯推薦:
環球網校友情提示:如果您在此過程中遇到任何疑問,請登錄環球網校證券從業資格頻道或論壇,隨時與廣大考生朋友們一起交流!
二、多項選擇題
1.ABC。【解析】常見的戰術性投資策略包括:交易型策略、多一空組合策略、事件驅動型策略。D項屬于戰略性投資策略。
2.AB。【解析】基本分析流派的分析方法體系體現了以價值分析理論為基礎、以統計方法和現值計算方法為主要分析手段的基本特征。它的兩個假設為:股票的價值決定其價格和股票的價格圍繞價值波動。
3.AB。【解析】滯后性指標,這類指標的變化一般滯后于國民經濟的變化,如失業率、庫存量、銀行未收回貸款規模等。C項屬于先行性指標,D項屬于同步性指標。
4.ABD。【解析】根據投資品種的不同,證券投資策略可分為股票投資策略、債券投資策略和另類產品投資策略。
5.ABC。【解析】D項表述錯誤,回歸分析法建立市盈率模型只能解釋在某一時刻股價的表現,卻很少能成功解釋較長的時間內市場的復雜變化。
6.BC。【解析】對看漲期權而言,若市場價格高于協定價格,期權的買方執行期權將有利可圖,此時為實值期權;市場價格低于協定價格,期權的買方將放棄執行期權,為虛值期權。對看跌期權而言,市場價格低于協定價格為實值期權;市場價格高于協定價格為虛值期權。
7.CD。【解析】債券交易中,報價方式包括:(1)全價報價,此時債券報價即買賣雙方實際支付價格;(2)凈價報價,此時債券報價是扣除累積應付利息后的報價。
8.ABD。【解析】市盈率通常用于考察股票的供求狀況,更為短期投資者所關注。
9.ABC。【解析】按權證的內在價值,可以將權證分為平價權證、價內權證和價外權證,其原理與期權相同。
10.ACD。【解析】一般來說,衡量通貨膨脹的指標有:零售物價指數(又稱消費物價指數、生活費用指數)、批發物價指數、國民生產總值平減指數。
11.ABCD。【解析】證券市場需求的決定因素除了選項中的四項以外,還有資本市場的逐步開放。
12.ABD。【解析】財政支出可歸類為兩部分:一部分是經常性支出,包括政府的日常性支出、公共消費產品的購買、經常性轉移等;另一部分是資本性支出,就是政府的公共性投資支出,包括政府在基礎設施上的投資、環境改善方面的投資以及政府儲備物資的購買等。
13.CD。【解析】選擇性政策工具包括C、D項。此外,一般性政策工具是指中央銀行經常采用的三大政策工具:(1)法定存款準備金率;(2)再貼現政策;(3)公開市場業務。
14.ABCD。【解析】通常來講,匯率制度主要有四種:自由浮動匯率制度、有管理的浮動匯率制度、目標區間管理和固定匯率制度。
15.ABD。【解析】在運用演繹法進行行業分析的時候,從邏輯推論開始。第一步是根據推理,得到一個假設;第二步是觀察,觀察研究對象的實際情況;第三步是對假設和實際觀察結果進行比較,確定接受或者拒絕這個假設。因此A、B、D項符合題意。
編輯推薦:
環球網校友情提示:如果您在此過程中遇到任何疑問,請登錄環球網校證券從業資格頻道或論壇,隨時與廣大考生朋友們一起交流!
16.ABCD。【解析】一國的匯率會因該國的國際收支狀況、通貨膨脹率、利率、經濟增長率等的變化而波動。
17.BCD。【解析】一元線性回歸方程可以應用于:(1)描述兩指標變量之間的數量依存關系;(2)利用回歸方程進行預測,把預報因子(即自變量X) 代入回歸方程可對預報量(即因變量Y)進行估計;(3)利用回歸方程進行統計控制,通過控制X的范圍來實現指標Y統計控制的目標。
18.AD。【解析】在一元線性回歸分析中,b的t檢驗和模型整體的F檢驗二者都取其一即可。但是在多元回歸分析中,它們是不等價的。t檢驗只是檢驗回歸模型中各個系數(參數)的顯著性,而F檢驗則是檢驗整個回歸關系的顯著性。
19.ABCD。【解析】在營運能力分析中,主要考慮的財務比率有:存貨周轉率和存貨周轉天數、應收賬款周轉率和應收賬款周轉天數、流動資產周轉率、總資產周轉率。
20.ABCD。【解析】選項均正確。
21.ABCD。【解析】利率可以分為存款利率、貸款利率、國債利率、回購利率、同業拆借利率等。
22.ABCD。【解析】選項均正確。
23.ABCD。【解析】金融機構主要包括商業銀行、政策性銀行、非銀行信貸機構和保險公司。
24.ACD。【解析】素質,是指一個人的品質、性格、學識、能力、體質等方面特性的總和。一般而言,企業的經理人員應該具備如下素質:(1)從事管理工作的愿望;(2)專業技術能力;(3)良好的道德品質修養;(4)人際關系協調能力。
25.ABCD。【解析】股東權益增減變動表的各項內容包括:(1)凈利潤;(2)直接計人所有者權益的利得和損失項目及其總額;(3)會計政策變更和差錯更正的累積影響金額;(4)所有者投入資本和向所有者分配利潤等;(5)按照規定提取的盈余公積;(6)實收資本(或股本)、資本公積、盈余公積、未分配利潤的期初和期末余額及其調節情況。
26.BCD。【解析】MACD由正負差(DIF)和異同平均數(DEA)兩部分組成,當然,正負差是核心,DEA是輔助。故A項錯誤。
27.BC。【解析】一般說來,買賣雙方對價格的認同程度通過成交量的大小得到確認。認同程度小,分歧大,成交量小;認同程度大,分歧小,成交量大。雙方的這種市場行為反映在價、量上就往往呈現出這樣一種趨勢規律:價升量高,價跌量減。
28.ABC。【解析】D項趨勢線被突破后,就說明股價下一步的走勢將要反轉。
29.BCD。【解析】持續整理形態主要有:三角形、矩形、旗形和楔形。
30.CD。【解析】投資者的共同偏好規則有:(1)如果兩種證券組合具有相同的期望收益率和不同的收益率方差,那么投資者總是選擇方差較小的組合;(2)如果兩種證券組合具有相同的收益率方差和不同的期望收益率,那么投資者選擇期望收益率高的組合。
編輯推薦:
環球網校友情提示:如果您在此過程中遇到任何疑問,請登錄環球網校證券從業資格頻道或論壇,隨時與廣大考生朋友們一起交流!
31.AC。【解析】資本資產定價模型主要應用于資產估值,資金成本預算以及資源配置等方面。
32.BC。【解析】增長型證券組合以資本升值(即未來價格上升帶來的價差收益)為目標。投資于此類證券組合的投資者往往愿意通過延遲獲得基本收益來求得未來收益的增長。
33.BCD。【解析】投資者需要在有效邊界上找到一個具有下述特征的有效組合:相對其他有效組合,該組合所在的無差異曲線位置最高。這樣的有效組合便是他最滿意的有效組合,而它恰恰是無差異曲線簇與有效邊界的切點所表示的組合。A項,該組合是在既定風險下收益最高的組合。
34.BC。【解析】傳統的風險限額管理主要是頭寸規模控制,主要缺陷有:(1)不能在各業務部門之間進行比較;(2)沒有包含杠桿效應,對衍生產品組合可能會產生錯誤的表述;(3)沒有考慮不同業務部門之間的分散化效應。
35.ABCD。【解析】金融工程是金融業不斷進行金融創新、提高自身效率的自然結果,其原因在于金融工程的應用范圍來自于金融實踐且全部應用于金融實踐。概括地說,金融工程應用于四大領域:公司金融、金融工具交易、投資管理和風險管理。
36.ABCD。【解析】相對于以往風險度量方法,VaR的全面性、簡明性、實用性決定了其在金融風險管理中有著廣泛的應用基礎,主要表現在風險管理與控制、資產配置與投資決策、績效評價和風險監管等方面。
37.AB。【解析】德爾塔~正態分布法下計算VaR時,VaR的值取決于兩個重要的參數:持有期和置信度。
38.ABCD。【解析】選項均正確。
39.ABCD。【解析】《證券、期貨投資咨詢管理暫行辦法》第二十條規定:“證券、期貨投資咨詢機構及其投資咨詢人員,應當完整、客觀、準確地運用有關信息、資料向投資人或者客戶提供投資分析、預測和建議,不得斷章取義地引用或者篡改有關信息、資料;引用有關信息、資料時,應當注明出處和著作權人。”
40.AD。【解析】證券公司、證券投資咨詢機構應當公平對待證券研究報告的發布對象,不得將證券研究報告的內容或者觀點,優先提供給公司內部部門、人員或者特定對象。故B項錯誤,鼓勵證券公司、證券投資咨詢機構組織安排證券分析師,按照證券信息傳播的有關規定,通過廣播、電視、網絡、報刊等公眾媒體,客觀、專業、審慎地對宏觀經濟、行業狀況、證券市場變動情況發表評論意見,為公眾投資者提供證券資訊服務,傳播證券知識,揭示投資風險,引導理性投資。故 C項錯誤。
41.ABCD。【解析】公司分析側重對公司的競爭能力、盈利能力、經營管理能力、發展潛力、財務狀況、經營業績以及潛在風險等進行分析,借此評估和預測證券的投資價值、價格及其未來變化的趨勢。
42.AB。【解析】利用歷史數據進行估計市盈率的方法有:(1)算術平均數法或中間數法;(2)趨勢調整法;(3)回歸調整法。C、D兩項屬于市場決定法。
43.CD。【解析】間接信用指導是指中央銀行通過道義勸告、窗口指導等辦法間接影響商業銀行等金融機構行為的做法。A、B兩項屬于直接信用控制。
44.AD。【解析】收入政策是國家為實現宏觀調控總目標和總任務,針對居民收入水平高低、收入差距大小在分配方面制定的原則和方針。與財政政策、貨幣政策相比,收入政策具有更高一層次的調節功能,它制約著財政政策和貨幣政策的作用方向和作用力度,而且收入政策最終也要通過財政政策和貨幣政策來現實。
45.AD。【解析】石油冶煉、超級市場和電力等行業已進入成熟階段;電子信息(電子計算機及軟件、通信)、生物醫藥等行業處于行業生命周期成長期。
編輯推薦:
環球網校友情提示:如果您在此過程中遇到任何疑問,請登錄環球網校證券從業資格頻道或論壇,隨時與廣大考生朋友們一起交流!
46.ABC。【解析】從長期來看,所有真實的報告收益應最終反映為公司的現金凈流入,所以長期償債能力與公司的獲利能力是密切相關的。
47.ABC。【解析】流動比率是流動資產與流動負債的比值。一般情況下,營業周期、流動資產中的應收賬款數額和存貨的周轉速度是影響流動比率的主要因素。
48.AD。【解析】技術分析就是利用過去和現在的成交量、成交價資料,以圖形和指標分析工具來分析、預測未來的市場走勢。
49.ABD。【解析】證券投資政策是投資者為實現投資目標應遵循的基本方針和基本準則,包括確定投資目標、投資規模和投資對象三方面的內容以及應采取的投資策略和措施等。
50.ABCD。【解析】金融工程作為金融創新的手段,其運作可分為六個步驟,即診斷、分析、生產、定價、修正和商品化。
三、判斷題
1.B。【解析】主管統計和國民經濟核算工作的國務院直屬機構是國家統計局。因此定期對外發布國民經濟和社會發展中的有關統計數據的政府部門是國家統計局。故本題錯誤。
2.A。【解析】基本分析法又稱基本面分析法,是指證券分析師根據經濟學、金融學、財務管理學及投資學等基本原理,對決定證券價值及價格的基本因素進行分析的一種分析方法。
3.B。【解析】直接監督管理我國證券市場的國務院直屬事業單位是中國證券監督管理委員會(簡稱中國證監會)。
4.B。【解析】證券投資的理想結果是證券投資凈效用(即收益帶來的正效用與風險帶來的負效用的權衡)最大化,而不單單是指在風險既定的條件下投資收益率最大。
5.B。【解析】應用零增長模型計算出該公司股票的內在價值=2÷10%=20(元),內在價值小于其市場價格(25元),說明該股票目前被高估了,是賣出的好時機。故本題錯誤。
6.A。【解析】付息間隔短的債券,風險相對較小。
7.B。【解析】無論是看漲期權還是看跌期權,也無論期權標的物的市場價格處于什么水平,期權的內在價值都必然大于零或等于零,而不可能為一負值。
8.B。【解析】如果NPV>0,意味著所有預期的現金流人的現值之和大于投資成本,即這種股票被低估價格,因此購買這種股票可行。如果NPV<0,意味著所有預期的現金流入的現值之和小于投資成本,即這種股票被高估價格,因此不可購買這種股票。
9.A。【解析】權證的定價多采用BS模型。
10.A。【解析】我國生產者價格指數(PPI)的計算方法與CPI的計算方法一致,都采用國際通行的鏈式拉氏公式。
11.B。【解析】國債是證券市場上重要的交易券種,國債發行規模的縮減,使市場供給量減少,從而對證券市場原有的供求平衡發生影響,導致更多的資金轉向股票,推動證券市場行情上揚,這是積極財政政策的經濟效應。
12.A。【解析】直接信用控制的具體手段包括:規定利率限額與信用配額、信用條件限制,規定金融機構流動性比率和直接干預等。
13.A。【解析】成長期的行業增長非常迅猛,部分優勢企業脫穎而出,投資于這些企業的投資者往往獲得極高的投資回報,所以成長期階段有時被稱為投資機會時期。
14.A。【解析】一般而言,市場容量和市場潛力較大的行業,成長空間也較大。
15.A。【解析】通過行業增長比較分析和行業增長預測分析,行業分析師可以選擇出處于成長期或穩定期、競爭實力雄厚、有較大發展潛力的行業。
編輯推薦:
環球網校友情提示:如果您在此過程中遇到任何疑問,請登錄環球網校證券從業資格頻道或論壇,隨時與廣大考生朋友們一起交流!
16.B。【解析】如果一個數列的自相關系數出現周期性變化,每間隔若干個便有一個高峰,表明該時間數列是季節性時間數列。
17.A。【解析】MvA是公司為股東創造或毀壞了多少財富在資本市場上的體現,也是股票市值與累計資本投入之間的差額。
18.B。【解析】市盈率又稱價格收益比或本益比,是每股價格與每股收益之間的比率。
19.B。【解析】總資產周轉率是營業收入與平均資產總額的比值。
20.A。【解析】根據國際會計準則理事會(IASB)規定,財務報表的目標是向財務報表使用者提供與主體財務狀況、經營成果和現金流量有關的會計信息,幫助廣泛的財務報表使用者作出經濟決策。
21.A。【解析】道氏理論對大形勢的判斷有較大的作用,但對于每日每時都在發生的小波動則顯得無能為力。
22.A。【解析】沒有上影線的K線指的是光頭陽線和光頭陰線。
23.B。【解析】當K、D值超過80時,是賣出信號;低于20時,是買人信號。
24.A。【解析】支撐線和壓力線之所以能起支撐和壓力作用,兩者之間之所以能相互轉化,很大程度上是心理因素方面的影響,這也是支撐線和壓力線理論上的依據。
25.A。【解析】貨幣市場型證券組合是由各種貨幣市場工具構成的,如國庫券、高信用等級的商業票據等,安全性很強。
26.A。【解析】證券組合管理理論最早由美國著名經濟學家哈理-馬柯威茨于1952年系統提出。在此之前,偶爾有人也曾在論文中提出過組合的概念,但經濟學家和投資管理者一般僅致力于對個別投資對象的研究和管理。
27.B。【解析】根據證券組合管理理論,只有位于最小方差集合線上且位于最小方差組合之上的點才是有效組合。
28.A。【解析】目前我國滬深兩地證券交易所均采用集合競價方式產生開盤價,每個交易日的9:15~9:25為開盤集合競價時間。
29.A。【解析】Alpha套利策略中希望持有的股票(組合)具有正的超額收益。因此,Alpha套利策略又稱為“絕對收益策略”。
30.B。【解析】交易者在股票或股指期權上持有空頭看漲期權時,一旦股票價格上漲將面臨很大的虧損風險,通過買進股指期貨合約則能起到對沖風險的作用。
31.A。【解析】典型的套期保值應當是在現貨和期貨市場上同時或相近時間內建立方向相反的頭寸,在套期保值結束時,在兩個市場將原有的頭寸進行反向操作。故本題正確。
32.B。【解析】套利交易者希望價差在預期的時間內能夠沿著自己設想的軌跡達到合理的狀態,因此,對“價差合理”的判斷的正確與否以及價差是否沿著設想的軌道運行,就決定了套利存在潛在的風險。故本題錯誤。
33.A。【解析】根據《證券投資基金評價業務管理暫行辦法》,對基金、基金管理人評級的更新間隔少于3個月。
34.A。【解析】與股市相關的避險工具并非只有股指期貨,在發達市場中,還有股指期權、股票期貨、股票期權等。
35.B。【解析】蒙特卡羅模擬法計算VaR時,市場價格的變化不是來自歷史觀察值,而是通過隨機數模擬得到。
36.A。【解析】期貨保值的盈虧取決于基差的變動。如果基差保持不變,則現貨盈虧正好與期貨市場盈虧相互抵消,總盈虧為零,套期保值目標實現。
37.B。【解析】靜默期的意義在于,防止分析師為配合本公司投資銀行業務調控發行人股價的需要,發布傾向性、誤導性的研究報告。題中描述的是隔離墻制度的意義。
38.B。【解析】證券公司探索形成的證券投資顧問業務流程主要有四個環節:(1)服務模式的選擇和設計;(2)客戶簽約;(3)形成服務產品;(4)服務提供。
39.A。【解析】根據《證券、期貨投資咨詢管理暫行辦法》,證券、期貨投資咨詢機構向投資人或者客戶提供的證券、期貨投資咨詢傳真件必須注明機構名稱、地址、聯系電話和聯系人姓名。
40.A。【解析】《證券公司信息隔離墻制度指引》規定,證券公司不應允許證券自營、證券資產管理等存在利益沖突的業務部門對上市公司、擬上市公司及其關聯公司開展聯合調研、互相委托調研。
編輯推薦:
環球網校友情提示:如果您在此過程中遇到任何疑問,請登錄環球網校證券從業資格頻道或論壇,隨時與廣大考生朋友們一起交流!
最新資訊
- 2024證券從業資格考試《金融市場基礎知識》模擬題:第三章第三節2024-09-17
- 2024證券從業資格考試《金融市場基礎知識》模擬題:第三章第二節2024-09-16
- 2024證券從業資格考試《金融市場基礎知識》模擬題:第三章第一節2024-09-15
- 2024證券從業資格考試《金融市場基礎知識》模擬題:第二章第二節2024-09-08
- 2024證券從業資格考試《金融市場基礎知識》模擬題:第二章第一節2024-09-07
- 2024證券從業資格考試《金融市場基礎知識》模擬題:第一章第二節2024-09-01
- 2024證券從業資格考試《金融市場基礎知識》模擬題:第一章第一節2024-08-31
- 2024證券從業資格考試練習題-《證券市場基本法律法規》2024-08-25
- 2024證券從業資格考試練習題-《金融市場基礎知識》2024-08-24
- 2023年證券從業資格考試沖刺練習題及答案:中國證券市場發行制度2023-08-23