2014年中級會計職稱《財務管理》考試大綱(第五章)
熱點專題:教材領取
套餐推薦:老師團來襲 通關不難| 直播保過| 招生計劃
>>中級會計職稱考試 第五章 籌資管理(下)
中級會計[基本要求]
(一)掌握資金需要量預測的方法
(二)掌握資本成本的計算
(三)掌握財務杠桿、經營杠桿和總杠桿
(四)熟悉可轉換債券、認股權證
(五)了解資本結構管理
[考試內容]
第一節 混合籌資
混合性資金,是指企業取得的某些兼有股權資本特征和債務資本特征的資金,常見的混合籌資方式主要有發行可轉換債券、發行認股權證。
一、可轉換債券
可轉換債券是一種混合型證券,是公司普通債券與證券期權的組合體。可轉換債券的持有人在一定期限內,可以按照事先規定的價格或者轉換比例,自由地選擇是否轉換為公司普通股。
(一)可轉換債券的基本性質
(1)證券期權性;(2)資本轉換性;(3)能夠贖回與回售。
(二)可轉換債券的基本要素
(1)標的股票;(2)票面利率;(3)轉換價格;(4)轉換比率;(5)轉換期;(6)贖回條款;(7)回售條款;(8)強制性轉換調整條款。
(三)可轉換債券的發行條件
(1)最近3年連續盈利,且最近3年凈資產收益率平均在10%以上;(2)可轉換債券發行后,公司資產負債率不高于70%;(3)累計債券余額不超過公司凈資產額的40%;(4)上市公司發行可轉換債券,還應當符合關于公開發行股票的條件。
(四)可轉換債券籌資的特點
(1)籌資靈活性;(2)資本成本較低;(3)籌資效率高;(4)存在一定的財務壓力。
二、認股權證
認股權證是一種由上市公司發行的證明文件,持有人有權在一定時間內以約定價格認購該公司發行的一定數量的股票。
(一)認股權證的基本性質
(1)證券的期權性;(2)認股權證是一種投資工具。
(二)認股權證的籌資特點
(1)認股權證是一種融資促進工具;(2)有助于改善上市公司的治理結構;(3)有利于推進上市公司的股權激勵機制。
第二節 資金需要量預測
資金的需要量是籌資的數量依據,應當科學合理地進行預測。籌資數量預測的基本目的,是保證籌集的資金既能滿足生產經營的需要,又不會產生資金多余而閑置。
一、因素分析法
因素分析法又稱分析調整法,是以有關項目基期年度的平均資金需要量為基礎,根據預測年度的生產經營任務和資金周轉加速的要求,進行分析調整,來預測資金需要量的一種方法。因素分析法的計算公式如下:
資金需要量=(基期資金平均占用額-不合理資金占用額)×(1+預測期銷售增長率)×(1-預測期資金周轉速度增長率)
二、銷售百分比法
(一)基本原理
銷售百分比法,將反映生產經營規模的銷售因素與反映資金占用的資產因素連接起來,根據銷售與資產之間的數量比例關系,來預計企業的外部籌資需要量。銷售百分比法首先假設某些資產與銷售額存在穩定的百分比關系,根據銷售與資產的比例關系預計資產額,根據資產額預計相應的負債和所有者權益,進而確定籌資需求量。
(二)基本步驟
1.確定隨銷售額而變動的資產和負債項目。
隨著銷售額的變化,經營性資產項目將占用更多的資金。同時,隨著經營性資產的增加,相應的經營性短期債務也會增加。
2.確定需要增加的籌資數量。
外部融資需求量=資產的增加一敏感性負債的增加一預計的收益留存
=敏感性資產的增加+非敏感性資產的增加一敏感性負債的增加一預計的收益留存
三、資金習性預測法
資金習性預測法,是指根據資金習性預測未來資金需要量的一種方法。所謂資金習性,是指資金的變動同產銷量變動之間的依存關系。按照資金同產銷量之間的依存關系,可以把資金區分為不變資金、變動資金和半變動資金。
(一)根據資金占用總額與產銷量的關系預測
這種方式是根據歷史上企業資金占用總額與產銷量之間的關系,把資金分為不變和變動兩部分,然后結合預計的銷售量來預測資金需要量。
(二)采用逐項分析法預測
這種方式是根據各資金占用項目和資金來源項目同產銷量之間的關系,把各項目的資金都分成變動和不變兩部分,然后匯總在一起,求出企業變動資金總額和不變資金總額,進而來預測資金需求量。
第三節 資本成本與資本結構
企業的籌資管理,在籌資方式選擇的同時,還要合理安排資本結構。資本成本是資本結構優化的標準,資本成本的固定性特性,帶來了杠桿效應。
一、資本成本
資本成本是指企業為籌集和使用資本而付出的代價,包括籌資費用和占用費用。
(一)資本成本的作用
資本成本是比較籌資方式、選擇籌資方案的依據;資本成本是衡量資本結構是否合理的重要依據;資本成本是評價投資項目可行性的主要標準:資本成本是評價企業整體業績的重要依據。
(二)影響資本成本的因素
(1)總體經濟環境;(2)資本市場條件;(3)企業經營狀況和融資狀況;(4)企業對籌資規模和時限的需求。
(三)個別資本成本的計算
1.資本成本率計算的基本模式。
(1)一般模式。為了便于分析比較,資本成本通常用不考慮貨幣時間價值的一般通用模型計算。

(2)貼現模式。對于金額大、時間超過一年的長期資本,更為準確一些的資本成本計算方式是采用貼現模式,即將債務未來還本付息或股權未來股利分紅的貼現值與目前籌資凈額相等時的貼現率作為資本成本率。
2.銀行借款的資本成本率。

式中:Kb表示銀行借款資本成本率;i表示銀行借款年利率;f表示籌資費用率;T表示所得稅率。
對于長期借款,考慮貨幣時間價值問題,還可以用貼現模式計算資本成本率。
3.公司債券的資本成本率。

式中:L表示公司債券籌資總額;I表示公司債券年利息。
對于公司債券,考慮貨幣時間價值問題,還可以用貼現模式計算資本成本率。
4.融資租賃的資本成本率。
融資租賃各期的租金中,包含有本金每期的償還和各期手續費用,其資本成本率只能按貼現模式計算。
5.普通股的資本成本率。
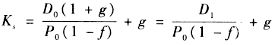
(1)股利增長模型法。假定某股票本期支付的股利為D0,未來各期股利按g速度增長。目前股票市場價格為p0,則普通股資本成本為:

(2)資本資產定價模型法。假定無風險報酬率為Rf,市場平均報酬率為Rm,某股票貝塔系數β,則普通股資本成本為:

6.留存收益的資本成本率。
留存收益資本成本的計算與普通股相同,也分為股利增長模型法和資本資產定價模型法,不同點在于不考慮籌資費用。
(四)平均資本成本的計算
企業平均資本成本,是以各項個別資本在企業總資本中的比重為權數,對各項個別資本成本進行加權平均而得到。計算公式為:

式中:Kw表示平均資本成本;Kj表示第j種個別資本成本;Wj表示第j種個別資本在全部資本中的比重。
(五)邊際資本成本的計算
邊際資本成本是企業追加籌資的成本。邊際資本成本,是企業進行追加籌資的決策依據。
二、杠桿效應
財務管理中的杠桿效應,包括經營杠桿、財務杠桿和總杠桿三種效應形式。杠桿效應既可以產生杠桿利益,也可能帶來杠桿風險。
(一)經營杠桿效應
1.經營杠桿。
經營杠桿,是指由于固定性經營成本的存在,而使得企業的資產報酬(息稅前利潤)變動率大于業務量變動率的現象。經營杠桿反映了資產報酬的波動性,用以評價企業的經營風險。
2.經營杠桿系數(DOL)。

3.經營杠桿與經營風險。
經營風險是指企業生產經營上的原因而導致的資產報酬波動的風險。經營杠桿放大了市場和生產等因素變化對利潤波動的影響。經營杠桿系數越高,表明資產報酬等利潤波動程度越大,經營風險也就越大。
(二)財務杠桿效應
1.財務杠桿。
財務杠桿,是指由于固定性利息費用的存在,而使得企業的凈利潤變動率大于息稅前利潤變動率的現象。財務杠桿反映了股權資本報酬的波動性,用以評價企業的財務風險。
2.財務杠桿系數(DFL)。

3.財務杠桿與財務風險。
財務杠桿放大了資產報酬變化對凈利潤的影響,財務杠桿系數越高,表明財務風險也就越大。
(三)總杠桿效應
1.總杠桿。
總杠桿,是指由于固定經營成本和固定利息費用的存在,導致凈利潤變動率大于產銷業務量的變動率的現象。
經營杠桿和財務杠桿可以獨自發揮作用,也可以綜合發揮作用,總杠桿是用來反映二者之間共同作用結果的,即凈利潤與產銷業務量之間的變動關系。兩種杠桿共同作用,將導致產銷業務量稍有變動,就會引起凈利潤更大的變動。
2.總杠桿系數(DTL)。

3.總杠桿與公司風險。
公司整體風險包括經營風險和財務風險。總杠桿系數反映了經營杠桿和財務杠桿之間的關系,用以評價企業的整體風險水平。
三、資本結構
(一)資本結構的作用與評價標準
資本結構是指企業資本總額中各種資本的構成及其比例關系。不同的資本結構會給企業帶來不同的后果。企業利用債務資本進行舉債經營具有雙重作用,既可以發揮財務杠桿效應,也可能帶來財務風險。
企業必須權衡財務風險和資本成本的關系,確定最佳的資本結構。評價企業資本結構最佳狀態的標準應該是能夠提高股權收益或降低資本成本,最終目的是提升企業價值。
(二)影響資本結構的因素
(1)企業經營狀況的穩定性和成長率;(2)企業的財務狀況和信用等級;(3)企業的資產結構;(4)企業投資人和管理當局的態度;(5)行業特征和企業發展周期;(6)經濟環境的稅務政策和貨幣政策。
(三)資本結構優化
資本結構優化的目標,是降低平均資本成本率或提高普通股每股收益。
1.每股收益分析法。
可以用每股收益的變化來判斷資本結構是否合理,即能夠提高普通股每股收益的資本結構,就是合理的資本結構。
2.平均資本成本比較法。
平均資本成本比較法,是通過計算和比較各種可能的籌資組合方案的平均資本成本,選擇平均資本成本最低的方案。
3.公司價值分析法。
公司價值分析法,是在考慮市場風險基礎上,以公司市場價值為標準,進行資本結構優化。即能夠提升公司價值的資本結構,則是合理的資本結構。
最新資訊
- 2026年中級會計考試大綱什么時候發布,如何有效利用考試大綱2025-11-10
- 2026中級會計《經濟法》教材變動大嗎?如何備考2025-11-10
- 2026年中級會計考試大綱出來了嗎2025-10-09
- 2025年中級經濟法教材頁碼、教材目錄及教材章節變化發布,頁碼最少2025-04-25
- 2025年中級會計實務教材明顯變化章節:第25章修改、補充、刪除內容2025-04-25
- 2025年中級會計師《中級會計實務》教材共25章,516頁,難度較大,附各章具體變化2025-04-25
- 2025年中級會計財務管理大綱變動:增加了“總成本模型”2025-04-16
- 2025年中級會計經濟法大綱變動:刪除了“信托法律制度”2025-04-16
- 2025年中級會計實務考試大綱變動:增加了“可持續信息披露”2025-04-16
- 2025年中級會計師考試大綱已公布!今年考試大綱變動不大!2025-04-16