中級會計職稱《中級財務管理》第六章:收入管理
收入管理
一、銷售預測分析
廣義的企業收入是指企業因銷售商品、提供勞務、轉讓資產使用權所取得的各種收入的總稱。
本節所指收入主要指銷售收入,即企業在日常經營活動中,由于銷售產品、提供勞務等所形成的收入。
銷售收入大小的制約因素主要是產品的銷售數量和銷售價格,因此,企業在經營管理過程中一定要做好銷售預測分析以及銷售定價管理。
(一)銷售預測分析含義
指通過市場調查,以有關的歷史資料和各種信息為基礎,運用科學的預測方法或管理人員的實際經驗,對企業產品在計劃期間的銷售量或銷售額作出預計或估量的過程。
(二)方法分類(按照是否采用數學方法分類)
|
類別 |
含義 |
類別 |
適用對象 |
|
定性分析法 |
非數量分析法,是指由專業人員根據實際經驗,對預測對象的未來情況及發展趨勢作出預測的一種分析方法 |
①推銷員判斷法 |
適用于預測對象的歷史資料不完備或無法進行定量分析 |
|
定量分析法 |
也稱數量分析法,運用一定的數學方法,建立預測模型,作出預測。 |
①趨勢預測分析法 |
預測對象有完備的有關資料 |
(三)銷售預測的定性分析法
1.推銷員判斷法
(1)含義
又稱意見匯集法,是由企業熟悉市場情況及相關變化信息的經營管理人員對由推銷人員調查得來的結果進行綜合分析,從而作出較為正確預測的方法。
(2)優點
用時短、耗費小,比較實用
2.老師判斷法
(1)含義
由老師根據他們的經驗和判斷能力對特定產品的未來銷售量進行判斷和預測的方法
(2)分類
3.產品壽命周期分析法(其他預測分析方法的補充)
產品壽命周期是指產品從投入市場到退出市場所經歷的時間,一般要經過萌芽期、成長期、成熟期和衰退期四個階段。
利用產品銷售量在不同壽命周期階段上的變化趨勢,進行銷售預測的一種定性分析方法。它是對其他預測分析方法的補充。
(四)銷售預測的定量分析法
1.趨勢預測分析法
(1)含義
趨勢預測分析法也稱作時間數列預測分析法。所謂時間數列(Time Series)就是指按照發生時間順序排列起來的同一變量的一組觀測值。
這種方法假設事物的發展具有一定的連貫性,一定的事物過去隨時間而發展變化的趨勢,也是今后該事物隨時間而發展變化的趨勢。
(2)常用方法
①算術平均法與加權平均法
②移動平均法及修正移動平均法
③指數平滑法
2.因果預測分析法
(1)含義
指通過影響產品銷售量(因變量)的相關因素(自變量)以及它們之間的函數關系,并利用這種函數關系進行產品銷售預測的方法。
因果預測分析法最常用的是回歸分析法
(2)回歸直線法(一元回歸分析法)
【注意】該方法在第三章第五節的資金習性預測法中講授過,只不過此處的x是某與銷售量有因果關系的驅動因素,而y是銷售量。
①假設及原理:
假定影響預測對象銷售量的因素只有一個,根據直線方程式y=a+bx;按照最小二乘法原理,來確定一條誤差最小的、能正確反映自變量x和因變量y之間關系的直線
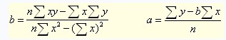
②計算過程
先計算a和b

③預測銷售量
帶a、b的值入y=a+bx,結合自變量x的取值,即可求得預測對象y的預測銷售量或銷售額。
二、銷售定價管理
(一)銷售定價管理的含義
銷售定價管理是指在調查分析的基礎上,選用合適的產品定價方法,為銷售的產品制定最為恰當的售價,并根據具體情況運用不同價格策略,以實現經濟效益最大化的過程。
(二)影響產品價格的因素
(三)產品定價方法(以成本為基礎的定價方法和以市場需求為基礎的定價方法)
1.以成本為基礎的定價方法(只關注企業成本狀況而不考慮市場需求狀況)
(1)三種成本概念
|
|
含義 |
構成 |
作為定價的優劣 |
|
完全成本 |
企業為生產、銷售一定種類和數量的產品所發生的所有成本和費用總額 |
制造成本和管理費用、銷售費用及財務費用等各種期間費用 |
既可以保證簡單再生產的正常進行,又可使勞動者為社會勞動所創造的價值得以全部實現。 |
|
制造成本 |
指企業為生產產品或提供勞務等發生的直接費用支出 |
直接材料、直接人工和制造費用 |
不包括各種期間費用,所以制造成本定價不利于企業簡單再生產的繼續進行 |
|
變動成本 |
在特定的業務量范圍內,其總額會隨業務量的變動而變動的成本 |
變動制造成本和變動期間費用 |
作為增量產量的定價依據 |
【注意】
變動成本有兩類,一類指的就是變動制造費用,還有一類是變動制造成本和變動期間費用的合計,在變動成本為基礎的定價法中,變動成本指的是后者。
(2)以成本為基礎的定價方法
①完全成本加成定價法
②保本點定價法和目標利潤法
③變動成本定價法
2.以市場需求為基礎的定價方法(不考慮成本,只考慮市場對價格接受程度)
(1)需求價格彈性系數定價法
(2)邊際分析定價法
(四)價格運用策略
最新資訊
- 中級會計《經濟法》關于“清算”的重要考點匯總2025-11-18
- 中級會計經濟法中關于“年限”(1年、2年、3年、5年等)重要知識點匯總2025-11-17
- 中級會計《經濟法》關于“30日”常考考點匯總2025-11-17
- 中級會計經濟法中關于“1/3”的知識點匯總2025-11-14
- 中級會計經濟法關于“1/2”的知識點匯總2025-11-13
- 2026年中級會計備考已經開始,這份免費資料包你還沒領取?2025-11-13
- 中級會計《經濟法》關于“一致”的知識點匯總2025-11-10
- 2026年中級會計備考還沒開始?這份備考資料包能救命!2025-11-06
- 2026年中級會計備考:中級會計實務哪章最難?如何攻克?2025-10-24
- 2026中級會計《經濟法》各章重要考點與備考指南2025-10-21


