欧美老妇人XXXX-天天做天天爱天天爽综合网-97SE亚洲国产综合在线-国产乱子伦精品无码专区

當前位置: 首頁 > 中級經濟師 > 中級工商管理專業知識與實務 > 租期10年,從第3年起至第10年每年年末支付租金100萬,假定復利率4%,公司支付的租金現值總計是( )萬。

1.【單選題】

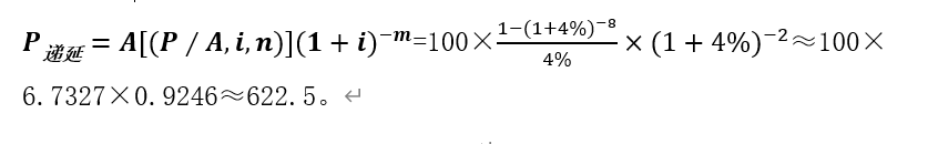
租期10年,從第3年起至第10年每年年末支付租金100萬,假定復利率4%,公司支付的租金現值總計是( )萬。

A

797.8

B

878.9

C

622.5

D

489.7

查看答案
獲取二級造價工程師定制學習規劃
壯壯老師
00:00:00
2334已獲取

微信號:hqwxjg1006

中級經濟師歷年真題 更多

下載快題庫,隨時隨地刷題
碎片時間鞏固知識點

返回頂部