2009年經濟師《中級郵電專業知識與實務》真題
一、單項選擇題(共60題.每題1分,每題的備選項中,只有1個最符合題意)
1.作為社會經濟的有機組成部分,產業是( )產物。
A.社會分工 B.區域競爭
C.制度健全 D.政策實施
2.隨著科學技術的進步和社會生產力的快速發展出現了四次產業劃分法,在第四次產業劃分法中突出了( )。
A.農業 B.工業
C.服務業 D.信息業
3.假定某企業在發展過程中投入、產出變化率的關系為:增加25%,產出相應則增加25%,該企業的生產具有( )。
A規模經濟性B范圍經濟性C網絡外部性D生產外部性
4.在農業、工業、服務業的生產、管理等各環節廣泛應用信息技術,大力開發和利用信息資源,從而實現各種資源的優化與重組,促進產業結構合理化和高級化,這屬于( )信息化的內容。
A企業 B產業 C家庭 D政府
5.最可能購成市場進入壁壘的是( )。
A.產業市場競爭激烈 B產業規模化濟性顯著
C.企業存在沉沒成本 D企業資產專用性很強
6.下列市場結構中,( )可以實現市場參與者整體福利最大化。
A.完全競爭市場 B壟斷競爭市場
C.寡頭壟斷市場 D完全壟斷市場
7.為反映通信產業經濟規模的縱向實現程度,可考察實現( )的企業的產量占產業鏈流程各階段產量的比例。
A.垂直-體化B縱向分離
C.橫向-體化D范圍經濟性
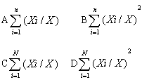
8.赫芬達爾—赫希曼指數(HHI)是表示市場競爭程度的指標。假設N為企業內企業總數,n為規模最在的前n位企業個數,X為市場總規模,Xi為第i位企業的規模,則HHI的計算公式為( )

9.管制應與( )的發展相協調,隨著后者的日趨成熟逐步弱化管制力度。
A資本市場結構B市場競爭機制
C宏觀經濟政策D現代企業制度
10.電信普遍服務基金通常用于( )。
A向所有電信用戶提供資助
B先進通信技術項目建設
C基本通信設施建設
D向特定的高成本地區和低收入用戶提供資助
11.許多國家采取限制基礎電信企業數量的管制政策,目的是為了追求( )。
A壟斷利潤B競爭活力C規模經濟效益D外部經濟效益
12.在電信業務由單一企業壟斷經營的時期,不存在電信( )管制問題。
A普遍服務B信息安全C業務資費D網間互聯
13.郵政管制是指郵政監管機構通過法律手段、行政手段( )手段等,制定相應的政策、法規,對郵政行業、郵政企業、郵政市場實施監督管理的行為。
A市場B經濟C技術D計劃
14.目前世界上公認的保障郵政普遍服務最行之有效的方法之一是( )制度。
A郵政專營B郵政市場準入C郵政資費管理D郵政服務質量管制
15.郵件傳遞時限和郵件傳遞頻次由( )統一制定,它他是反映郵政通信迅速性的指標。
A國家質量監督部門B國家郵政局C省郵政管理局D中國郵政集團公司
16.在郵政服務質量指標體系中,通信質量指標又可分為時限指標、安全質量指標和( )
A信息指標B準確指標
C頻次指標D方便指標
17從電信網的水平結構來看,接入網位于( )和用電駐地網之間,包含了連接兩者的所有設施設備與線路。
A交換網B核心網C廣域網D傳輸網
18.在電話網中,完成用戶呼叫接續的主要設備是( )。
A數字程控交換機B X.25分組交換機
C路由器D光端機
19.在數據通信網發展的過程中出現的,采用數字傳輸技術、利用數字信道提供永久性、半永久性連接線路的通信網稱為( )。
A分組交換網B幀中繼網C數字數據網D互聯網
20.互聯網使用非面向連接技術,每個IP包走向不確定,因此( )。
A造成地址資源緊張B增加了網絡運行成本
C難以保證QoS D限制了網絡應用的發展
21.目前已被國際電信聯盟批準的3G標準不包括( )。
A.WCDMA BTD-SCDMA CWiWAX DWi-Fi
22.全國干線郵政實物傳遞網是以北京、上海等七個一級中心局為中心,通過干線郵路連接各干線郵路通達局而形成的。其中七個一級中心局之間的網絡結構是( )。
A網狀網B星狀網
C輻射網D復合網
23.郵政金融網是在郵政綜合計算機網通信平臺和( )的基礎上,由郵政金融專業專用的終端和各級業務處理中心組成的專用業務網絡。
A實物傳遞網B郵政業務網
C公用電信網D郵政物理網
24.傳遞時限量確定郵件傳遞速度的主要指標,又可分為( )
A全程運遞時限和局內作業時限B階段運遞時限和基本作業時限C全程運遞時限和階段作業時限D階段運遞時限和局內作業時限
25.下列業務中,不屬于郵政物流業務的是( )
A同城配送業務B貨運代理業務
C分銷配送業務D電子信函業務
26.會計成本是按照一套通行的企業會計制度和成本核算規定進行核算的成本,目的是核算通信運營企業一定經營期間的( ),從而對內制定生產經營決策,對外向投資者、債權人、征稅人等利益相關者傳達企業經營活動的信息。
A收入狀況B損益狀況C生產能力狀況D納稅狀況
27.資金成本是企業所占用資金的一個合理回報,通常采用加權平均資本成本(WACC)表示,計算公式為WACC=rD(D/V)+rg(1-D/V)。其中,D為公司債務的市值,V為公司的總市值。那么rD表示( )。
A債務成本B股權成本C債務比率D股權比率
28.成本代理模型是一種( )的對前瞻性成本進行測算的方法。
A自上而下B由外向內C自下而上D由內向外
29.通信成本是通信企業在向消費者提供信息傳遞等服務的過程中耗費的( )的貨幣表現。
A各種資源B自然資源C生產資料D勞動資源
30.相對于定額資費來說,二部資費能更好地反映通信業務的( )。
A使用質量B使用數量C成本結構D 成本大小
31.各國電信資費改革進程中普遍經歷過“資費再平衡”階段,造成資費再平衡的根本原因是( )。
A消費者需求增加B通信距離“死亡”
C電信市場引入競爭D電信成本降低
32.電信企業制定的“選擇資費”的選擇權屬于( )。
A電信用戶B電信企業C電信管制機構D服務提供商
注:剩余題目仍在整理中,稍后公布!
最新資訊
- 2025年中級經濟師考后真題及答案在哪里下載?指南來了2025-11-07
- 2025年中級經濟師考情深度解析:各科目難度對比與備考策略2025-11-06
- 【完整版真題】2025年中級經濟師工商11月2日下午場真題及答案發布2025-11-05
- 2025年中級經濟師考試整體考情分析(附各科真題下載)2025-11-05
- 【完整版真題】2025年中級經濟師金融11月2日上午場真題100道2025-11-05
- 【完整版下載】2025年中級經濟師11月1日下午場經濟基礎真題出爐2025-11-05
- 【真題速遞】2025年中級經濟師11月1日下午《財政稅收》真題及答案解析(完整版)2025-11-05
- 2025年中級經濟師考試結束!真題及答案在哪里下載2025-11-05
- 精準估分!2025年11月2日下午場中級經濟師經濟基礎真題及答案完整版!2025-11-05
- 2025年中級經濟師考后指南:真題估分與科學規劃助你高效復盤2025-11-04


