巖土工程師練習:向量代數與空間解析幾何1
更新時間:2013-07-30 09:22:01
來源:|0
瀏覽
收藏
注冊土木工程師(巖土)報名、考試、查分時間 免費短信提醒
摘要 巖土工程師練習:向量代數與空間解析幾何
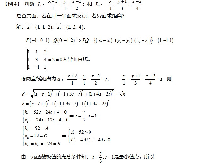
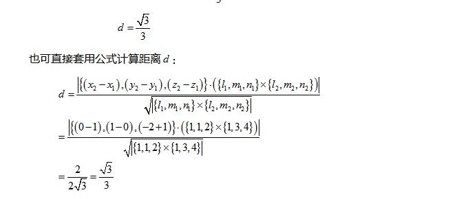
根據考試大綱得知,巖土工程師考試基礎部分――高等數學考點含有:空間解析幾何、微分學、積分學、無窮級數、常微分方程、概率與數理統計、向量分析、線性代數。中華考試網根據網校學員反饋需求整理了相關知識點,本節為學員講述的知識點為向量代數與空間解析幾何――向量代數練習題,具體內容如下:




編輯推薦:
編輯推薦
最新資訊
- 2025巖土工程師考試專業基礎知識考前模擬題2025-10-30
- 考前練習!2025年巖土工程師《公共基礎知識》模擬試題2025-10-30
- 2025巖土工程師考試《專業知識》測試題2025-10-24
- 2025年巖土工程師考試《公共基礎知識》模擬練習題2025-10-24
- 2025年巖土工程師考試《專業知識》模擬考題及答案2025-10-16
- 2025年巖土工程師考試《公共基礎知識》考前模擬試題2025-10-16
- 2025年注冊巖土工程師專業基礎知識題集2025-10-09
- 2025年注冊巖土工程師《公共基礎知識》試題庫2025-10-09
- 2025年巖土工程師考試《專業基礎知識》模擬試題2025-09-26
- 2025年注冊巖土工程師基礎考試試題庫2025-09-26