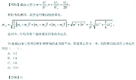
2008年巖土考試試卷基礎材料力學部分及答案(7)
更新時間:2010-11-10 10:11:04
來源:|0
瀏覽
收藏
注冊土木工程師(巖土)報名、考試、查分時間 免費短信提醒


更多內容訪問>> 注冊土木工程師(巖土)考試頻道 注冊土木工程師(巖土)考試論壇 巖土工程師課程試聽
·2011年注冊土木工程師(巖土)考試輔導招生簡章
·巖土工程師輔導現在報名任意專業知識贈送專業知識習題班
·老師輔導每天24小時不限時間隨時反復學習……
編輯推薦
最新資訊
- 速看!2025年巖土工程師專業基礎真題及解析發布2025-11-10
- 真題解析來了!2025年注冊土木工程師(巖土)《專業基礎》考試真題2025-11-10
- 更新!2025年巖土工程師《專業基礎》真題及解析發布2025-11-10
- 2025年度注冊巖土工程師考試真題答案解析(考生回憶版)2025-11-02
- 考后速看!2025年巖土工程師專業知識考試真題上午卷2025-11-02
- 真題解析來了!2025年巖土工程師公共基礎考試真題2025-11-02
- 2025年度巖土工程師專業案例考試真題解析于考后發布2025-11-02
- 考后更新!2025年巖土工程師專業案例(上)真題及答案2025-11-02
- 對答案了!2025年注冊巖土工程師專業知識(上)考試真題2025-11-01
- 更新!2025注冊土木工程師公共基礎真題及解析發布2025-11-01