2015年造價師造價管理精講班講義:網絡圖的繪制
特別推薦:環球造價工程師精彩視頻免費學
第三章工程項目管理
第五節 網絡計劃技術
1.內容提要
² 網絡圖的繪制規則;
² 網絡計劃時間參數的計算
² 雙代號時標網絡計劃
² 網絡計劃的優化
² 網絡計劃執行中的控制
2.重點、難點分析
網絡圖的繪制規則和雙代號網絡計劃時間參數的計算方法是我們學習的難點,也是考核的重點內容。
3.內容講解
一、網絡圖的繪制
(一)基本概念
1. 網絡圖和工作
網絡圖是由箭線和節點組成,用來表示工作流程的有向、有序網狀圖形。一個網絡圖表示一項計劃任務。網絡圖中的工作是計劃任務按需要粗細程度劃分而成的、消耗時間或同時也消耗資源的一個子項目或子任務。工作可以是單位工程;也可以是分部工程、分項工程;一個施工過程也可以作為一項工作。在一般情況下,網絡圖中的工作分為三種:
Ø 完成一項工作既需要消耗時間,也需要消耗勞動力、原材料、施工機具等資源;
Ø 有一些工作只消耗時間而不消耗資源,如混凝土澆筑后的養護過程和墻面抹灰后的干燥過程等;
Ø 虛工作:既不消耗時間,也不消耗資源。
網絡圖有雙代號網絡圖和單代號網絡圖兩種。
雙代號網絡圖又稱箭線式網絡圖,它是以箭線及其兩端節點的編號表示工作,同時,節點表示工作的開始或結束以及工作之間的連接狀態。如圖所示。


單代號網絡圖又稱節點式網絡圖,它是以節點及其編號表示工作,箭線表示工作之間的邏輯關系。如圖所示。


注意:網絡圖中的節點都必須有編號,其編號嚴禁重復,并應使每一條箭線上箭尾節點編號小于箭頭節點編號。在雙代號網絡圖中,有時存在虛箭線,虛箭線不代表實際工作,我們稱之為虛工作。虛工作既不消耗時間,也不消耗資源。虛工作主要用來表示相鄰兩項工作之間的邏輯關系。但有時為了避免兩項同時開始、同時進行的工作具有相同的開始節點和完成節點,也需要用虛工作加以區分。
在單代號網絡圖中,虛擬工作只能出現在網絡圖的起點節點或終點節點處。
2. 工藝關系和組織關系
工藝關系和組織關系是工作之間先后順序關系――邏輯關系的組成部分。
(1)工藝關系。生產性工作之間由工藝過程決定的、非生產性工作之間由工作程序決定的先后順序關系稱為工藝關系。在圖3.5.1所示的雙代號網絡計劃中,支模1→扎筋1→混凝土1為工藝關系。
(2)組織關系。工作之間由于組織安排需要或資源(勞動力、原材料、施工機具等)調配需要而規定的先后順序關系稱為組織關系。在圖3.5.1所示的雙代號網絡計劃中,支模1→支模2;扎筋1→扎筋2等為組織關系。

3. 緊前工作、緊后工作和平行工作
(1)緊前工作。在網絡圖中,相對于某工作而言,緊排在該工作之前的工作稱為該工作的緊前工作。在雙代號網絡圖中,工作與其緊前工作之間可能有虛工作存在。如圖3.5.1所示,支模1是支模2在組織關系上的緊前工作;扎筋1和扎筋2之間雖然存在虛工作,但扎筋1仍然是扎筋2在組織關系上的緊前工作。支模1則是扎筋1在工藝關系上的緊前工作。
(3)緊后工作。在網絡圖中,相對于某工作而言,緊排在該工作之后的工作稱為該工作的緊后工作。在雙代號網絡圖中,工作與其緊后工作之間也可能有虛工作存在。如圖3.5.1所示,扎筋2是扎筋1在組織關系上的緊后工作;混凝土1是扎筋1在工藝關系上的緊后工作。
(3)平行工作。在網絡圖中,相對于某工作而言,可以與該工作同時進行的工作即為該工作的平行工作。如圖3.5.1所示,扎筋1和支模2互為平行工作。
4. 先行工作和后續工作
(1)先行工作。相對于某工作而言,從網絡圖的第一個節點(起點節點)開始,順箭頭方向經過一系列箭線與節點到達該工作為止的各條通路上的所有工作,都稱為該工作的先行工作。如圖3.5.1所示,支模1、扎筋1、混凝土1、支模2、扎筋2均為混凝土2的先行工作。
(2)后續工作。相對于某工作而言,從該工作之后開始,順箭頭方向經過一系列箭線與節點到網絡圖最后一個節點(終點節點)的各條通路上的所有工作,都稱為該工作的后續工作。如圖3.5.1所示,扎筋1的后續工作有混凝土1、扎筋2和混凝土2。
5. 線路、關鍵線路和關鍵工作
(1)線路。網絡圖中從起點節點開始,沿箭頭方向順序通過一系列箭線與節點,最后到達終點節點的通路稱為線路。線路既可依次用該線路上的節點編號來表示,也可依次用該線路上的工作名稱來表示。如圖3.5.1所示,該網絡圖中有三條線路,這三條線路既可表示為:①-②-③-⑤-⑥、①-②-③-④-⑤-⑥和①-②-④-⑤-⑥,也可表示為:支模1→扎筋1→混凝土1→混凝土2、支模1→扎筋1→扎筋2→混凝土2和支模1→支模2→扎筋2→混凝土2。
(2)關鍵線路和關鍵工作。在關鍵線路法(CPM)中,線路上所有工作的持續時間總和稱為該線路的總持續時間。總持續時間最長的線路稱為關鍵線路,關鍵線路的長度就是網絡計劃的總工期。如圖3.5.1所示,線路①-②-④-⑤-⑥或支模1→支模2→扎筋2→混凝土2為關鍵線路。
說明:
Ø 在網絡計劃中,關鍵線路可能不止一條。而且在網絡計劃執行過程中,關鍵線路還會發生轉移。
Ø 關鍵線路上的工作稱為關鍵工作。在網絡計劃的實施過程中,關鍵工作的實際進度提前或拖后,均會對總工期產生影響。
例題:
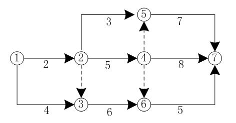
某工程雙代號網絡計劃如下圖所示,其中關鍵線路有( )條。

A.1 B.2 C.3 D.4
【答案】B
【解題思路】線路1257,時間為12;線路12457,時間為14;線路1247,時間為15;線路12367,時間為13;線路12467,時間為12;線路1367,時間15。時間最長的線路為關鍵路線。
(二)網絡圖的繪制規則和方法
1. 雙代號網絡圖的繪制規則和方法
(1)繪圖規則。在繪制雙代號網絡圖時,一般應遵循以下基本規則:
1)網絡圖必須按照已定的邏輯關系繪制。
2)網絡圖中嚴禁出現從一個節點出發,順箭頭方向又回到原出發點的循環回路。
3)網絡圖中的箭線(包括虛箭線,以下同)應保持自左向右的方向,不應出現箭頭指向左方的水平箭線和箭頭偏向左方的斜向箭線。若遵循該規則繪制網絡圖,就不會出現循環回路。
4)網絡圖中嚴禁出現雙向箭頭和無箭頭的連線。
5)網絡圖中嚴禁出現沒有箭尾節點的箭線和沒有箭頭節點的箭線。
6)嚴禁在箭線上引入或引出箭線。但當網絡圖的起點節點有多條箭線引出(外向箭線)或終點節點有多條箭線引入(內向箭線)時,為使圖形簡潔,可用母線法繪圖。即:將多條箭線經一條共用的垂直線段從起點節點引出,或將多條箭線經一條共用的垂直線段引入終點節點,如圖3.5.2所示。對于特殊線型的箭線,如粗箭線、雙箭線、虛箭線、彩色箭線等,可在從母線上引出的支線上標出。

7)應盡量避免網絡圖中工作箭線的交叉。當交叉不可避免時,可以采用過橋法或指向法處理。如圖3.5.3所示。

8)網絡圖中應只有一個起點節點和一個終點節點(任務中部分工作需要分期完成的網絡計劃除外)。除網絡圖的起點節點和終點節點外,不允許出現沒有外向箭線的節點和沒有內向箭線的節點。
(2)繪圖方法。(略)
環球網校友情提示:如果您在此過程中遇到任何疑問,請登錄環球網校造價工程師考試頻道及論壇,環球網校造價師考試交流群384019082,歡迎您的加入,隨時與廣大考生朋友們一起交流!
更多造價工程師信息:
編輯推薦:
最新資訊
- 備考必看:一級造價師《安裝計量》十大核心知識點總結2025-11-02
- 速看!一級造價師《土建計量》十大核心考點總結2025-11-01
- 免費分享:一級造價師《工程計價》十大核心考點總結2025-10-31
- 一鍵收藏:一級造價師《造價管理》十大核心考點總結2025-10-30
- 免費分享:2025年一級造價師《工程計價》考點匯總2025-10-29
- 2025年一級造價師《工程計價》考試難度及考點分析2025-10-28
- 免費分享:2025年一級造價師《造價管理》考點匯總2025-10-27
- 免費分享:2025年一級造價師案例分析重要考點匯總2025-10-27
- 2025年一級造價師《造價管理》重點考查內容2025-10-24
- 深度解析:2025年一級造價師案例考試難度及考察重點2025-10-23