欧美老妇人XXXX-天天做天天爱天天爽综合网-97SE亚洲国产综合在线-国产乱子伦精品无码专区

當前位置: 首頁 > 一級造價工程師 > 一級造價工程師模擬試題 > 2008年造價工程師案例分析考試習題解析(六)

2008年造價工程師案例分析考試習題解析(六)

更新時間:2009-10-19 15:27:29 來源:|0 瀏覽0收藏0

一級造價工程師報名、考試、查分時間 免費短信提醒

地區

獲取驗證 立即預約

請填寫圖片驗證碼后獲取短信驗證碼

看不清楚,換張圖片

免費獲取短信驗證碼

  答案:(1)采用系數估算法,估算項目主廠房投資和項目建設的工程費與其他費投資為 
  項目主廠房及其他費投資=6000×(1+42%)×(1+32%)=11246.4(萬元)
 。2)估算項目的固定資產投資額
  ①基本預備費=(設備及工器具購置費用+建安工程費用+工程建設其他費用)×基本預備費費率
  基本預備費=11246.4×5%=562.32(萬元)
  建設項目靜態投資=建安工程費+基本預備費
          =11246.4+562.32=11808.72(萬元)
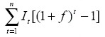
 、谟嬎銤q價預備費為:
   
  第1年的漲價預備費=11808.72×30%×[(1+4%)-1]=141.70(萬元)
  第1年含漲價預備費的投資額=11808.72×30%+141.70=3684.32(萬元)
  第2年的漲價預備費=11808.72×30%×[(1+4%)2-1]=289.08(萬元)
  第2年含漲價預備費的投資額=11808.72×30%+289.08=3831.69(萬元)
  第3年的漲價預備費=11808.72×40%×[(1+4%)3-1]=589.79(萬元)
  第3年含漲價預備費的投資額=11808.72×40%+589.79=5313.28(萬元)
  漲價預備費=141.70+289.08+589.79=1020.57(萬元)
 、酃潭ㄙY產投資額=建設項目靜態投資+漲價預備費
          =11808.72+1020.57=12829.29(萬元)
 、苡嬎憬ㄔO期借款利息為:
  各年應計利息=(年初借款本息累計+本年借款額/2)×年利率
  第1年貸款利息=(8000×30%/2)×7%=84(萬元)
  第2年貸款利息=[(8000×30%+84)+8000×30%/2]×7%=257.88(萬元)
  第3年貸款利息=[(8000×30%+84)+(8000×30%+257.88)+8000×40%/2]×7%=471.93(萬元)
  建設期貸款利息=84+257.88+471.93=813.81(萬元)
  固定資產投資總額=建設項目靜態投資+漲價預備費+建設期貸款利息
  =11808.72+1020.57+813.81=12829.29+813.81=13643.10(萬元)
  (3)若固定資產投資資金率為6%,使用擴大指標估算法,估算項目的流動資金為:
  流動資金投資=固定資產投資額×固定資產投資資金率
  =13643.10×6%=818.59(萬元)
  (4)計算建設項目的總投資:
  建設項目的總投資=固定資產投資+流動資金投資+建設期貸款利息
          =13643.10+818.59=14461.69(萬元)

 

?2004-2007年造價工程師考試真題試卷及答案匯總

分享到: 編輯:環球網校

資料下載 精選課程 老師直播 真題練習

一級造價工程師資格查詢

一級造價工程師歷年真題下載 更多

一級造價工程師每日一練 打卡日歷

0
累計打卡
0
打卡人數
去打卡

預計用時3分鐘

一級造價工程師各地入口
環球網校移動課堂APP 直播、聽課。職達未來!

安卓版

下載

iPhone版

下載

返回頂部