2013年一級建造師《工程經濟》全真模擬測評(1)
1.某企業借貸資金8萬元,償還期為4年,年利率10%,按復利計算,有A、B、C、D四種還款方式,各還款方式中支付總金額最多的是( )。
A.每年年末償還2萬元本金和所欠利息
B.每年年末只償還所欠利息,第4年年末一次還清本金
C.在4年中每年年末等額償還
D.在第4年末一次還清本息
答案:D
解析:由于按復利計算,每年若有償還,年末的本利和就會減少,下一年計息的本金減少。最后一年一次還清本息,每年均無償還,其間各年累計利息要計算利息,即“利滾利”,因此支付總金額最多。
2.若設i=10%,現在的1000元等于5年末的( )元。
A.1610.5 B.1614.8 C.1629.9 D.1773.2
【答案】A
【試題解析】考點:已知現值求終值。
,P=1000元,i=0.1,n=5,代入公式:
3.在下列公式中,( )是計算年金終值系數的正確公式。
A.
B. 
C. 
D. 
【答案】B
【試題解析】考點:年金終值系數。
4.技術方案經濟效果評價中,考察技術方案投資總獲利能力和方案設計的合理性,應進行( )。
A.融資前分析
B.融資后分析
C.靜態分析
D.動態分析
答案:A
5.若計息周期為季,利率為2%,則年名義利率為( )。
A.8% B.8.24% C.12% D.12.24%
【答案】A
【試題解析】考點:已知計息周期及計息周期利率,求年名義利率。年名義利率=計息周期利率*年計息次數=0.02*4=0.08
【考點來源】該考點來自教材的第一章《工程經濟》的第一節1Z101013名義利率與有效利率的計算:一名義利率的計算,在教材第11頁
6.如果項目沒有足夠資金支付利息,償債風險很大,常常表現為利息備付率低于( )。
A.3
B.2
C.1.3
D.1
答案: D P30
7.利息備付率和償債備付率是評價投資項目償債能力的重要指標,對于正常經營的項目,利息備付率和償債備付率應( )。
A均大于1 B分別大于1和2
C均大于2 D分別大于2和1
【答案】D
【試題解析】考點:利息備付率和償債備付率的評價標準。利息備付率應該大于2,償債備付率應該大于1.
8.與計算投資回收期無關的指標是( )。
A.項目壽命期 B.現金流入 C.現金流出 D.期初投資
【答案】A
【試題解析】考點:投資回收期的計算公式。從建設開始年算起,靜態投資回收期
的計算公式:
其中:CI現金流入,CO現金流出。期初投資屬于現金流出,對計算
有影響。而項目的壽命期對計算
沒有影響。
9.盈虧平衡分析是將項目投產后的產銷量作為不確定因素,通過計算企業或項目盈虧平衡點的產銷量,分析判斷不確定性因素對方案經濟效果的影響程度,說明項目( )。
A.承擔風險的能力
B.盈利的能力
C.財務生存的能力
D.償債的能力
答案:A
10.常用的不確定性分析的方法有:盈虧平衡分析和( )法。?A.邊際分析 B.敏感性分析?C.成本分析 D.德爾菲?
【答案】B
【試題解析】考點:不確定性分析的方法。常用的不確定分析方法有盈虧平衡分析和敏感性分析。
環球網校友情提示:如果您在此過程中遇到任何疑問,請登錄環球網校一級建造師考試論壇,隨時與廣大考生朋友們一起交流!
編輯推薦:
11.某投資方案財務凈現值為115.79萬元,方案經濟效果可行。現對該項目進行單因素敏感性分析,選取投資額、產品價格和經營成本三個不確定因素,令其在初始值的基礎上按±10%、±20%的變化幅度變動,分別計算相應的財務凈現值如下表。該項目對三個因素的敏感程度由高到低依次為( )。

A.投資額→產品價格→經營成本
B.產品價格→投資額→經營成本
C.投資額→經營成本→產品價格
D.產品價格→經營成本→投資額
答案:B
12.建設項目年設計生產能力為10萬臺,年固定成本為1200萬元,產品單臺銷售價格為900元,單臺產品可變成本為560元,單臺產品銷售稅金及附加為120元。盈虧平衡點的產銷量為 ( )臺。A.45454 B.54545C.35294 D.15385【答案】B
【試題解析】考點:盈虧平衡產量的計算。
,根據題意:
=1200萬元,
=900元,
=560元,
=120元,代入公式:
=54545臺
13.流動資金是指為維持生產所占用的全部周轉資金,它是( )。
A.現金與銀行存款的總和 B.全部貨幣資金
C.流動資產與流動負債的差額 D.資產與負債的差額
【答案】C
【試題解析】考點:流動資金的概念。流動資金的估算基礎是經營成本和商業信用等,它是流動資產與流動負債的差額。
14.教育費附加是地方收取的專項費用,以( )為稅基乘以相應的稅率計算。
A.營業額
B.營業稅
C.增值稅和營業稅
D.增值稅、營業稅和消費稅
答案:D
15. 某設備在使用過程中,由于外力作用造成精度降低,同時出現了更為先進的設備,造成了該設備價值的降低,可以判斷該設備遭受了()。
A.第一種有形磨損和第一種無形磨損
B.第一種有形磨損和第二種無形磨損
C.第二種有形磨損和第一種無形磨損
D.第二種有形磨損和第二種無形磨損
【答案】B
【試題解析】設備在使用過程中,在外力的作用下實體產生的磨損、變形和損壞,稱為第一種有形磨損,這種磨損的程度與使用強度和使用時間長度有關。第二種無形磨損是由于科學技術的進步,不斷創新出結構更先進、性能更完善、效率更高、耗費原材料和能源更少的新型設備,使原有設備相對陳舊落后,其經濟效益相對降低而發生貶值。第二種無形磨損的后果不僅是使原有設備價值降低,而且由于技術上更先進的新設備的發明和應用會使原有設備的使用價值局部或全部喪失,這就產生了是否用新設備代替現有陳舊落后設備的問題。
16.建設單位委托工程監理單位實施工程監理的費用屬于( )
A建設管理費 B勘察設計費 C與未來企業運行有關的其他費用 D土地使用費
【答案】A
【試題解析】考點:工程建設其他費的組成。
17. 某設備目前價值3000元,預計殘值500元,每年設備的劣化增量為200元,設備使用壽命7年,該設備的經濟壽命為( )年。
A.4.12
B.5
C.5.71
D.6
【答案】B
【試題解析】設備的經濟壽命N0=√2(P-LN)/λ,λ為設備的低劣化值。代入數據計算可得到。
18.某企業5年前投資6萬元購買一臺設備,目前賬面價值為1.6萬元,如現在出售這臺設備可得到1萬元,該設備還可使用8年,8年末的估計價值為0.1萬元,則該設備的沉沒成本為( )。
A.6萬元
B.1萬元
C.0.6萬元
D.0.1萬元
答案:C
19.價值工程涉及到價值、( )和壽命周期成本等三個基本要素。?
A.價格 B.成本?C.功能 D.費用
【答案】C
【試題解析】考點:價值工程的特點。由價值工程的概念可知,價值工程涉及價值、功能和壽命周期成本等三個基本要素。
20.方案評價包括概略評價和詳細評價兩個階段。其評價內容和步驟都包括有( )、經濟評價、社會評價以及綜合評價。
A.市場評價 B.功能評價 C.技術評價 D.服務評價
【答案】C
【試題解析】考點:價值工程方案評價包括的內容。方案評價不論概略評價和詳細評價都包括技術評價、經濟評價、社會評價和環境評價四方面。
環球網校友情提示:如果您在此過程中遇到任何疑問,請登錄環球網校一級建造師考試論壇,隨時與廣大考生朋友們一起交流!
編輯推薦:
21. 會計核算處理中,我國有關文件規定企業應當以()為基礎進行會計確認。
A.收付實現制
B.權責發生制
C.歷史成本
D.重置成本
【答案】B
【試題解析】會計核算處理中,我國有關文件規定企業應當以權責發生制為基礎進行會計確認。
22.某企業欲形成年產量1000萬件生產能力,計劃引進生產線。現有兩個生產線方案可選,若引進甲生產線,其固定成本為400萬元,單位產品可變成本為0.6元;若引進乙生產線,其固定成本為500萬元,單位產品可變成本為0.4元,則企業的決策是( )。
A.應該引進甲生產線
B.應該引進乙生產線
C.甲乙生產線都不引進
D.無法判斷應該引進哪一條生產線
答案:B
解析:甲生產線成本:400+1000*0.6=1000
乙生產線成本:500+1000*0.4=900
應該引進乙生產線
23.按照我國的基本建設程序,承包人與發包人簽訂合同同時形成的價格稱為( )
A結算價 B投資估算 C竣工結算價 D合同價
【答案】D
【試題解析】考點:工程估價在建設各階段的名稱。按照我國的基本建設程序,在項目建議書及可行性研究階段,對建設工程項目投資所做的測算稱之為“投資估算”;在初步設計、技術設計階段,對建設工程項目投資所做的測算稱之為“設計概算”;在施工圖設計階段,稱之為“施工圖預算”;在投標階段,稱之為“投標報價”;承包人與發包人簽訂合同時形成的價格稱之為“合同價”;在合同實施階段,承包人與發包人結算工程價款時形成的價格稱之為“結算價”;工程竣工驗收后,實際的工程造價稱之為“竣工決算價”。
24. 投資過程中由于國外投資方以外幣投入造成的外幣折算差額應計入()。
A.資本溢價
B.實收資本
C.盈余公積
D.資本公積
【答案】D
【試題解析】資本公積:指由投資者投入但不構成實收資本,或從其他非收益來源取得,由全體所有者共同享有的資金。包括資本溢價、資產評估增值、接受捐贈、外幣折算差額等。
25. 按照財政部、建設部印發的《建設工程價款結算暫行辦法》(財建[2004] 369號)的規定
在具備施工條件的前提下,發包人應在雙方簽訂合同后的一個月內或約定的開工日期前的( )天內預付工程款。
A.7 B.14
C.28 D.30
【答案】A
【試題解析】考點:預付工程款的數額、支付時間及抵扣方式。預付工程款是發包人為解決承包人在施工準備階段資金周轉問題提供的協助。如使用的水泥、鋼材等大宗材料,可根據工程具體情況設置工程材料預付款。雙方應在合同中約定預付款數額:可以是絕對數,如50萬元、100萬元,也可以是額度,如合同金額的10%、15%等;約定支付時間:如合同簽訂后一個月支付、開工日前7天支付等;約定抵扣方式:如在工程進度款中按比例抵扣;約定違約責任:如不按合同約定支付預付款的利息計算,違約責任等。
26.某施工企業的一臺拖拉機按工作量法計提折舊。該拖拉機原價30000元,預計凈殘值5%,可工作500個臺班時數。投入使用后,第一年工作臺班為250個小時,則該拖拉機第一年的折舊額為( )。
A.14250
B.8550
C.5700
D.1140
答案:A
解析:30000(1-5%)*250/500=14250
27.單價合同通常采用( )方法進行結算。
A.竣工后一次結算 B.分段結算
C.按月結算 D.按年結算
【答案】C
【試題解析】考點:工程款按月結算的適用范圍。按月結算。即先預付部分工程款,在施工過程中按月結算工程進度款,竣工后進行清算的辦法。單價合同常采用按月結算的方式。
28. 某獨立土方工程,招標文件中估計工程量為100萬m3,合同中規定:土方工程單價為5元/ m3,當實際工程量超過估計工程量15%時,調整單價,單價調為4元/m3。工程結束時實際完成土方工程量為130萬m3,則土方工程款為( )萬元。
A.575 B.620
C.615 D.635
【答案】D
【試題解析】考點:有關工程價款調整的規定。實際工程量=130萬m3,估計工程量=100萬m3,則實際工程量超過估計工程量比例為(130-100)/100=0.3>0.15,則根據合同約定必然要調整單價。合同約定范圍內(15%以內)的工程款=100×(1+0.15)×5=575萬元,超出部分的工程款=(130-100×1.15)×4=60萬元,則土方工程款總額=575+60=635萬元。
29.某建筑安裝工程公司2009年3月發生施工費用如下:人工費30萬元,耗用材料費用 50萬元,機械使用費用 10萬元,銀行借款利息5萬元。根據企業會計準則及其相關規定,則此項工程的直接費用是( )。
A.30萬元
B.50萬元
C.90萬元
D.95萬元
答案:C
30.某路橋施工公司與B交通局簽訂了一項公路建造合同,公路總長為50公里,合同規定每公里建造單價600萬元,則該合同是( )。
A.固定造價合同
B.可變動造價合同
C.成本加成合同
D.成本加利潤合同
答案:A
環球網校友情提示:如果您在此過程中遇到任何疑問,請登錄環球網校一級建造師考試論壇,隨時與廣大考生朋友們一起交流!
編輯推薦:
31.反映企業一定時點上財務狀況的靜態會計等式是( )。
A.收入-費用=利潤 B.資產=負債+權益
C.資產=負債+所有者權益 D.資產=所有者權益
【答案】C
【試題解析】考點:靜態會計等式。靜態會計等式為“資產=負債+所有者權益”。
32.某裝飾企業于所屬的A項目于2010年10月完工,工程完工時共發生材料費30萬元,項目管理人員工資8萬元,行政管理部門發生的水電費共2萬元。根據企業會計準則及其相關規定,應計入工程成本的費用為( )。
A.30萬元
B.32萬元
C.38萬元
D.40萬元
答案:C
33.雙倍余額遞減法和年數總和法這兩種計算固定資產折舊的方法,其共同點有( )。
A.每期折舊率固定 B.每期折舊額相等
C.考慮凈殘值 D.前期折舊高,后期折舊低
【答案】D
【試題解析】考點:雙倍余額遞減法和年數總和法兩種折舊方法的共同點。共同點:在固定資產使用前期提取較多的折舊,而在使用后期則提取較少的折舊。雙倍余額遞減法不考慮凈殘值,折舊率不變;年數總和法考慮凈殘值,折舊率每年改變。
34.某施工企業2009年10月共實現營業收入6000萬元,發生營業成本3000萬元,財務費用400萬元,管理費用600萬元。根據企業會計準則及其相關規定,企業當期營業利潤應為( )。
A.3000萬元
B.2000萬元
C.1000萬元
D.500萬元
答案:B
35.我國企業編制的利潤表的基本格式屬于( )
A.帳戶式 B.多步式
C.單步式 D.報告式
【答案】B
【試題解析】考點:利潤表的內容和結構。我國采用的是多步式利潤表,通過對當期的收入、費用、支出項目按性質加以歸類,按利潤形成的主要環節列示一些中間性利潤指標,如營業利潤、利潤總額、凈利潤,分步計算當期凈損益。這種多步式利潤表注意了收入與費用支出配比的層次性,便于對企業的經營情況進行分析,有利于不同企業之間進行比較,有利于預測企業未來酌盈利能力,從而滿足報表使用者對會計信息的需求。
36.如果一項建造合同包括多項資產,每項資產應分立為單項合同處理,下列各項中不屬于必備條件的是( )。
A.每項資產均有獨立的建造計劃
B.每項資產的收入和成本可以單獨辨認
C.承包商與客戶就每項資產單獨進行談判,雙方能夠接受或拒絕與每項資產有關的合同條款
D.該組合同同時或依次履行
答案:D
37.下列各項中,屬于經營活動流出現金的是( )。
A.支付給職工的現金
B.購建無形資產所支付的現金
C.償還債務所支付的現金
D.分配股利所支付的現金
答案:A
38.企業商業信用籌資包括( )
A.應收帳款 B.預付賬款
C.應收票據 D.預收帳款
【答案】D
【試題解析】考點:商業信用籌資包含的內容。商業信用是指在商品交易中由于延期付款或預收貨款所形成的企業間的借貸關系。它運用廣泛,在短期負債籌資中占有相當大的比重。商業信用的具體形式有應付賬款、應付票據、預收賬款等。
39.固定造價合同結果能夠可靠估計的標準不包括( )。
A.合同總成本能夠可靠計量
B.為完成合同已經發生的合同成本能夠清楚地區分和可靠計量
C.與合同相關的經濟利益能夠流人企業
D.合同總收入能夠可靠地計量
【答案】A
【試題解析】考點:固定造價合同結果能夠可靠估計的標準。判斷固定造價合同的結果能夠可靠估計,需同時具備以下條件:①合同總收入能夠可靠地計量;②與合同相關的經濟利益很可能流人企業;③實際發生的合同成本能夠清楚地區分和可靠地計量;④合同完工進度和為完成合同尚需發生的成本能夠可靠地確定。
40.據某公司期末會計報表資料,期初總資產1000000元,期末總資產為1200000元;利潤總額為190000元,利息支出數為10000元,則該公司總資產報酬率為( )。
A.20%
B.16.67%
C.18.18%
D.16.78%
(190000+10000)/[( 1000000+1200000)/2]=18.18%
答案:C
環球網校友情提示:如果您在此過程中遇到任何疑問,請登錄環球網校一級建造師考試論壇,隨時與廣大考生朋友們一起交流!
編輯推薦:
41.現金等價物的期限短的特點一般是指從購買日起到( )到期。
A.一個月后 B.二個月后C.三個月后 D.四個月后
【答案】C
【試題解析】考點:現金等價物。現金等價物,是指企業持有的期限短、流動性強、易于轉換為已知金額的現金、價值變動風險小的短期投資。現金等價物是短期投資,其支付能力與現金差別不大,可視為現金。通常從購買日起三個月到期或清償的國庫券、商業本栗、貨幣市場基金、可轉換定期存單、商業本票及銀行承兌兌匯票等都可列為現金等價物。
42.補償性余額是指銀行要求借款人在銀行中保持按貸款限額或實際借用額的一定百分比計算的最低存款余額,該百分比一般是( )。
A.10%
B.10%~15%
C.15%~20%
D.10%~20%
答案:D
43.某化工廠生產所需的某種材料,年采購總量為160000kg,材料單價為600元,一次訂貨成本為360元。每千克材料的年平均儲備成本為1.80元。則材料的經濟采購批量為( )kg。
A. 12000 B.16000 C.8000 D.6000
【答案】C
【試題解析】考點:經濟采購批量的計算。
,其中,
為經濟訂購批量,K為每次訂貨的變動成本,D為年采購總量,
為單位儲存變動成本。
根據題意,K=360元,K=160000kg,
=1.8元/kg,代入公式:
=8000kg
44.某企業在銷售合同中規定的信用條件是:1/15,n/30。合同中信用期限是( )。
A.15天
B.20天
C.30天
D.45天
答案:C
45. 按建標[2003]206 號文的規定, 下列各項中屬于規費的是 ( )。
A.住房公積金 B.安全施工費 C.勞動保護費 D.勞動保險費
【答案】A
【試題解析】考點:規費的構成。住房公積金屬于規費;安全施工費屬于措施費;勞動保護費屬于人工費;勞動保險費屬于企業管理費。
46.某進口設備FOB價為人民幣1200萬元,國際運費72萬元,國際運輸保險費用4.47萬元,關稅217萬元,銀行財務費6萬元,外貿手續費19.15萬元,增值稅253.89萬元,消費稅率為5%,則該設備的消費稅為( )萬元。
A.78.60 B.74.67 C.79.93 D.93.29
【答案】A
【試題解析】考點:進口設備消費稅的計算公式。
其中,到岸價=FOB價+國際運費+國際運輸保險費,關稅=到岸價×人民幣外匯牌價×進口關稅稅率
本題中,到岸價=1200+72+4.47=1276.47萬元,關稅=217萬元,則:
=78.6037萬元
47.為滿足施工建設需要而供到場地界區的、未列入工程費用的臨時水、電、路、信等其他工程費用,和建設單位的現場臨時建筑物的搭設、維修、拆除、攤銷或建設期間租賃費用,以及施工期間專用公路或橋梁的加固、養護、維修等費用稱為( )。
A.場地準備費
B.建設準備費
C.臨時設施費
D.場地清理費
答案:C
48.某建設項目,建筑工程費1000萬元,設備、工具購置費700萬元,安裝工程費為200萬元,工程建設其他費用為150萬元,基本預備費100萬元,該項目建設期為2年,第一年計劃投資40%,第二年計劃投資60%,年價格上漲率為5%。則該項目的漲價預備費為( )。
A.38萬元
B.116.85萬元
C. 154.85萬元
D. 2304.85萬元
答案:C

49.某項目投資建設期為三年,第一年投資額是1000萬元,且每年以15%速度增長,預計該項目年均投資價格上漲率為5%,則該項目建設期間漲價預備費()萬元。
A.350 B.310.1 C.150 D.376.34
【答案】D
【試題解析】考點:漲價預備費的計算。計算過程如下:

50.按照編制程序和用途,建筑工程定額分為( )。
A.人工定額、材料消耗定額、施工機械臺班使用定額
B.施工定額、預算定額、概算定額、概算指標、投資概算指標
C.國家定額、行業定額、地區定額、企業定額
D.建筑工程定額、設備安裝工程定額、建筑安裝工程費用定額、工程建設其他費用定額及工具、器具定額
答案:B
環球網校友情提示:如果您在此過程中遇到任何疑問,請登錄環球網校一級建造師考試論壇,隨時與廣大考生朋友們一起交流!
編輯推薦:
51.生產某產品的工人小組由6人組成,每個小組的成員工日數為1工日,機械臺班產量為5.85 ┫ /工日,則人工時間定額應為( )。
A.0.5工日/ ┫
B.0.98工日/ ┫
C.1.03工日/ ┫
D.1.5工日/ ┫
答案:C
解析: P185 6Ï1/5.85=1.03
52.某項目購買一臺國產設備,其購置費為1 325萬元,運雜費率為12%, 則設備的原價為( )萬元。
A.1166 B.1183 C.1484 D.1506
【答案】B
【試題解析】考點:設備購置費的計算。設備購置費=設備原價或進口設備抵岸價十設備運雜費。根據題意,
,則設備的原價=1183.04萬元
53.暫估價是招標人在工程量清單中提供的用于支付必然發生但暫時不能確定價格的材料價款以及專業工程的金額。應列入( )。
A.分部分項工程清單
B.措施項目清單
C.其他項目清單中
D.規費項目清單
答案:C
54.以擴大的分部分項工程為對象編制的定額是( )。
A . 施工定額 B.預算定額 C.概算定額 D.概算指標
【答案】C
【試題解析】考點:概算定額的編制依據。概算定額也叫做擴大結構定額。它規定了完成一定計量單位的擴大結構構件或擴大分項工程的人工、材料、機械臺班消耗量的數量標準。
55.在工程計價中,對工程造價計價依據、辦法以及相關政策規定發生爭議事項的,負責解釋的部門是( )。
A.工程造價管理機構
B.地方建設主管部門
C.行業協會
D.省級建設主管部門
答案:A
56.某土方工程直接工程費為800萬元,以直接費為計算基礎計算建筑安裝工程費,其中措施費為直接費的8%,間接費費率為15%,利潤率為7%,綜合計稅系數為3.4%。則該工程的建筑安裝工程含稅造價為( )。
A.1067.20萬元
B.1080.10萬元
C.1081.86萬元
D.1099.30萬元
答案:D
解析:800*(1+8%)*(1+15%)*(1+7%)*(1+3.4%)=1099.30
57.施工定額是以( )作為研究對象。A.工序 B.建筑物或構筑物各個分部分項工程C.擴大的分部分項工程 D.整個建筑物和構筑物
【答案】A
【試題解析】考點:施工定額的作用。施工定額是以同一性質的施工過程――工序作為研究對象,表示生產產品數量與時間消耗綜合關系的定額。
58.工程保險費屬于( )。
A.設備及工器具購置費 B.與未來企業生產經營有關的其他費用
C.工程建設其他費 D.與項目建設有關的其他費用
【答案】D
【試題解析】考點:工程保險費的歸屬。工程保險費屬于與項目建設有關的其他費用。
59.在國際工程投標報價中,投標獲得成功的基本保證是( )。
A.高水平投標報價班子
B.現場勘查
C.了解生產要素市場行情
D.估算實施項目工程量
答案:A
60.投標人參加標前會議時,對有關問題應注意的說法,錯誤的是()。
A.對工程內容范圍不清的問題應當提請說明
B.對招標文件中圖紙和技術說明相互矛盾之處請求說明以何為準
C.對含糊不清、容易產生歧義理解的合同條件請求給予澄清、解釋
D.對業主在招標文件中的一些錯誤或疏漏提出批評或否認
答案:D
環球網校友情提示:如果您在此過程中遇到任何疑問,請登錄環球網校一級建造師考試論壇,隨時與廣大考生朋友們一起交流!
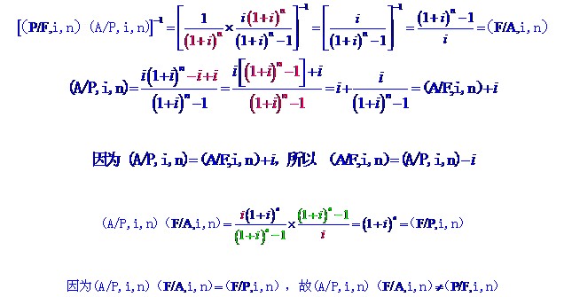
編輯推薦:
二、多項選擇題(共20題,每題2分,每題的備選項中。有2個或2個以上 符合題意,
61.在資金時間價值計算時,i和n給定,下列等式中正確的有()。
A.(F/A,i,n)=[(P/F,i,n)(A/p,i,n)]-1
B.(A/P,i,n)=(A/F,i,n)+i
C.(A/F,i,n)=(A/P,i,n)-i
D.(F/P,i,n)=(A/P,i,n)/(F/A,i,n)
E.(A/P,i,n)(F/A,i,n)=(P/F,i,n)
答案:A、B、C、D
解析:

62.當動態投資回收期小于項目的計算期時,則必然有( )。
A.靜態投資回收期小于項目壽命期。 B.財務凈現值大于零。
C.財務凈現值等于零 D.財務內部收益率大于基準收益率
E.財務內部收益率等于基準收益率
【答案】ABD
【試題解析】考點:投資方案各評價指標之間的關系。當動態投資回收期小于項目的計算期時,靜態投資回收期小于項目壽命期,財務凈現值大于零,財務內部收益率大于基準收益率。
63.如果投資方案在經濟上可行,則有( )。
A.財務內部收益率大于基準收益率
B.財務內部收益率大于單位資金成本
C.財務凈現值大于建設項目總投資
D.財務凈現值大于零
E.財務凈年值大于零
答案:A、B、D、E
64.對于建設項目來說,一般情況下,產生項目不確定性的主要原因有( )
A基礎數據統計偏差
B未來市場需求結構的變化
C預測方法的局限性
D預測過程中出現的人為錯誤
E通貨膨脹
【答案】ABCE
【試題解析】考點:不確定性因素產生的原因。產生不確定性因素的原因很多,一般情況下,產生不確定性的主要原因有以下幾點:(1)所依據的基本數據不足或者統計偏差。(2)預測方法的局限,預測的假設不準確。(3)未來經濟形勢的變化。(4)技術進步。(5)無法以定量來表示的定性因素的影響。(6)其他外部影響因素,如政府政策的變化,新的法律、法規的頒布,國際政治經濟形勢的變化等。
65.下列包含在資本金現金流量表中,不包含在項目投資現金流量表中的有( )。
A.營業稅金及附加
B.借款本金償還
C.項目資本金
D.借款利息支付
E.所得稅
答案:B、C、D
66. 當價值系數V<1時,應該采取的措施有( )。
A.在功能水平不變的條件下,降低成本。
B.在成本不變的條件下,提高功能水平。
C.去掉成本比重較大的多余功能。
D.補充不足功能,但是成本上升幅度很小。
E.不惜一切代價來提高重要的功能。
【答案】ABCD
【試題解析】考點:功能的價值系數。V/ 67.我國現行《建設工程工程量清單計價規范》規定的綜合單價不包括( )。 A.人工費 B.管理費 C.利潤 D.稅金 E.規費【答案】DE 【試題解析】考點:《建設工程工程量清單計價規范》規定的綜合單價的計算公式。綜合單價=(直接工程費十管理費十利潤)/清單工程量。規費屬于間接費,間接費和稅金不包括在綜合單價的計算公式中。 68.某企業擬引進新生產線,已知新生產線的投資額為400萬元,新生產線的經營成本為每年12萬元;舊生產線的投資額為300萬元,經營成本為每年14萬元。該行業的基準投資收益率為2.5%,則( )。 A.引進后的增量投資收益率為1% B.引進后的增量投資收益率為2% C.引進后的增量投資收益率為2.5% D.應引進該生產線 E.不應引進該生產線 答案:B、E 69. 索賠費用的計算方法主要有( )。 A.實際費用法 B.總費用法 C.模擬概算法 D.逐項審核法 E.修正總費用法 【答案】ABE 【試題解析】考點:索賠費用的計算方法。索賠費用的計算方法有:實際費用法、總費用法和修正總費用法。 70. 國際工程中的開辦費在不同的招標項目中包括的內容可能不相同,一般包括( )。 A.現場勘察費 B.現場清理費 C.進場臨時道路費 D.總部管理費 E.現場試驗設施費 【答案】ABCE 【試題解析】考點:開辦費的內容。開辦費在不同的招標項目中包括的內容可能不相同,一般可能包括以下內容:現場勘察費、現場清理費、進場臨時道路費、業主代表和現場工程師設施費、現場試驗設施費、施工用水電費、腳手架及小型工具費、承包商臨時設施費、現場保衛設施和安裝費用、職工交通費、其他雜項(如惡劣氣候條件下施工設施、職工勞動保護和施工安全措施(如防護網)等)。 環球網校友情提示:如果您在此過程中遇到任何疑問,請登錄環球網校一級建造師考試論壇,隨時與廣大考生朋友們一起交流! 編輯推薦:
A.固定造價合同的風險由發包方承擔
B.固定造價合同的風險由承包商承擔
C.成本加成合同的風險由發包方承擔
D.成本加成合同的風險由承包商承擔
E.建造合同的風險由承包方、發包方及相關單位共同承擔
答案:BC
72.企業發生的與其施工生產經營活動沒有直接關系的各項收入和支出是( )。
A.其他業務收入
B.其他業務支出
C.營業外收入
D.營業外支出
E.補貼收入
答案:CD
73. 信用政策一般主要包括( )
A.信用期間 B.商業折扣
C.折扣期限 D.現金折扣
E.信用標準
【答案】ADE
【試題解析】考點:信用政策的內容。信用政策包括:信用期間、信用標準和現金折扣政策。
74.下列方法中,屬于編制人工定額的常用方法有( )。
A.統計分析法 B.成本估算法 C.比較類推法
D.技術測定法 E.理論計算法
【答案】ACD
【試題解析】考點:人工定額的常用方法。編制人工定額的常用方法有: 技術測定法、統計分析法、比較類推法、經驗估計法。
75.融資租賃的租金構成主要包括()。
A.租賃資產的成本
B.租賃資產的折舊費
C.租賃資產的修理費
D.租賃資產的成本利息
E.租賃手續費
答案:ADE
76.某企業銷售一批商品,為擴大銷售采用30天信用銷售,考慮到貨款盡早收回,決定給予客戶現金折扣,條件為“2/10,n/30”。該信用條件表述的含義是( )。
A.30日為信用期限
B.10日為信用期限
C.30日為折扣期限
D.10日為折扣期限
E.2%為現金折扣
答案:A、D、E
77.檢驗試驗費不包括( )的費用。A.自設試驗室進行試驗所耗用的材料和化學藥品B.新結構、新材料的試驗費C.建設單位對具有出廠合格證明的材料進行檢驗D.對構件做破壞性試驗及其他特殊要求檢驗試驗E.對材料的一般鑒定和檢查所發生的費用
【答案】BCD
【試題解析】考點:檢驗試驗費包括的內容。檢驗試驗費是指對建筑材料、構件和建筑安裝物進行一般鑒定、檢查所發生的費用,包括自設試驗室進行試驗所耗用的材料和化學藥品等費用。不包括新結構、新材料的試驗費和建設單位對具有出廠合格證明的材料進行檢驗,對構件做破壞性試驗及其他特殊要求檢驗試驗的費用。
78. 施工企業的期間費用主要包括( )。?A.直接費用 B.間接費用 ?C.營業費用 D.管理費用 ?E.財務費用
【答案】DE
【試題解析】考點:期間費用的構成。期間費用是指企業本期發生的、不能直接或間接歸入營業成本,而是直接計人當期損益的各項費用。包括銷售費用、管理費用和財務費用等。
79.在分部分項工程量清單中,對項目特征進行描述的意義是( )。
A.是區分清單項目的依據
B.是處理工程索賠的依據
C.是確定綜合單價的前提
D.是工程付款的依據
E.是履行合同義務的基礎
答案:ACE
80.下面關于投標價編制內容的說法,正確的是( )。
A.投標人可以考慮對投標總價作適當優惠
B.規費和稅金不得作為競爭性費用
C.暫列金額應按照其他項目清單中列出的金額填寫,不得變動
D.投標人可根據工程項目實際情況以及施工組織設計或施工方案,自主確定措施項目費
E.投標企業沒有企業定額時可根據企業自身情況參照消耗量定額進行調整
答案:BCDE
環球網校友情提示:如果您在此過程中遇到任何疑問,請登錄環球網校一級建造師考試論壇,隨時與廣大考生朋友們一起交流!
編輯推薦:
最新資訊
- 【免費領取】一級建造師考試基礎自測卷,備考必備!2025-11-03
- 考生速進!2026年一建備考,好用的刷題APP是哪個?2025-10-21
- 別錯過!8月30日9點一建決賽圈等你來考2025-08-30
- 別錯過!2025年一級建造師黃金AB卷免費領取啦2025-08-11
- 提分必備!2025年一建《建設工程經濟》經典100題免費下載2025-07-26
- 免費下載!2025年一級建造師《工程法規》經典100題,助你沖刺提分2025-07-23
- 備考必刷!2025年一級建造師項目管理經典100題免費下載2025-07-23
- 一級建造師題目講解視頻:提高價值的途徑2025-07-17
- 一級建造師題目解析視頻:閥門安裝前閥門搬運的正確做法2025-07-16
- 備考必看!免費獲取2025年新版一級建造師經典100題2025-07-07