2012年一級建造師水利水電正版考試用書增值服務第二次
“全國一級建造師執業資格考試用書(第三版)”
《水利水電工程管理與實務》
2012年網上增值服務(2)
1.什么是水力學?
答:水力學是研究以水為代表的液體的宏觀機械運動規律,及其在工程技術中的應用。水力學包括水靜力學和水動力學。
2.水壓力計算公式需要掌握嗎?
答:水壓力計算公式是水利水電專業人士應當掌握的基本公式。
2011年版新增加了樞紐建筑物不同運用條件下,靜水壓力的計算水位的確定。
3.大壩壩基同一高程的每一點所受到的揚壓力是一樣的嗎?
答:揚壓力不一樣,揚壓力是浮托力和滲透壓力兩者之和,滲透壓力是變化的,但浮托力不變。
4.怎樣記住揚壓力分布圖?
答:揚壓力有兩部分組成,一部分是浮托力,其分布圖為矩形,與下游水位有關。另一部分是滲透壓力,其分布圖為四邊形,與上下游的水位差有關。兩圖疊加即為揚壓力圖。
5.堤防堤身的滲透系數與堤防的擋水高度有關嗎?
答:無關。滲透系數是堤身填筑土料固有的特性。
6.考試需要繪制流網嗎?
答:精確繪制流網需要時間較多。根據以往的考試情況,畫示意圖需要時間不多。
7.什么是滲流?
答:流體通過多孔介質的流動稱為滲流。
8.滲透破壞的主要原因是什么?
答:滲透破壞的主要原因是管涌、流土、接觸沖刷、接觸管涌或接觸流土。這些也是水工建筑物遭到破壞的主要原因,需要會分析和掌握它們之間的區別。
9.水流形態方面如何學習掌握?
答:水流形態方面應當學會如何區分恒定流與非恒定流、均勻流與非均勻流、漸變流與急變流、層流與紊流。尤其學會在工程實際中如何區分。第三版對上述流態的描述增加了具體圖形,有利于理解,也有利于考試出題。
10.工程實際中常見的水流形態是什么?
答:常見的水流形態是非恒定流、非均勻流和紊流。為了計算的方便,在設置必要的邊界條件后,往往按恒定流與均勻流進行工程計算和設計。
12.為何水利工程要進行消能設計?
答:當水體的高程位置由高處轉至低處時,水體原有的“位能”就轉化為“動能”,動能對下游河道有沖刷作用,為了使沖刷控制在不危害工程安全范圍內,需要進行工程的消能設計。
如果您在此過程中遇到任何疑問,請登錄環球網校一級建造師考試論壇,隨時與廣大考生朋友們一起交流!
編輯推薦:
13.消能方式如何區分?
答:應當通過掌握繪圖區分各種消能形式。
14.水閘常用的消能方式是什么?
答:水閘常用的消能方式是底流消能。
15.什么是護坦?
答:閘、壩下游消力池的底板,稱為護坦。一般用混凝土或漿砌石做成,它是用來保護消能時水躍范圍內的河床免受危害性沖刷。
16.1F411023掌握水利水電工程建筑材料的應用,內容較多,如何把握重點?
答:從時間和精力安排順序來說,水泥以及混凝土和鋼材的有關性能指標更具有實用性,應當更重要一些。 混凝土外加劑的主要作用需要掌握。
17.土石壩的主要填筑材料有哪些要求?
答:土石壩的主要填筑材料是土料與石料,土料需要具有一定的抗滲性和強度,特別是抗滲性方面的滲透系數、黏料含量、有機質含量、易溶鹽含量均有一定的限制。由于受土料來源的限制,為了節約工程造價,可以對壩體不同位置的土料提出不同的抗滲性和強度。石料的主要限制是不宜使用風化巖石。
18.水利工程對水泥的使用范圍有哪些要求?
答:水利工程對水泥的使用范圍是有要求的,可以見考試用書《水利水電工程管理與實務》1F411023掌握水利水電工程建筑材料的應用。
19.混凝土方面需要注意哪些?
答:從事水利水電工程建設管理,對于混凝土的性能和使用范圍應當非常熟悉,可以見考試用書《水利水電工程管理與實務》1F411023掌握水利水電工程建筑材料的應用,有關性能指標的描述比較容易出題。
20.測量方面需要注意哪些?
答:測量部分主要有兩方面的內容,即測量儀器的使用和水利水電工程施工測量的要求。對于有關測量儀器的標識(如水準儀的DS3)、分類、特點應當有所了解;工程管理人員應當掌握施工測量的基礎知識、施工放樣的具體要求、施工期間的外部變形監測以及竣工測量、測量誤差的分類和處理等。
21.工程地質與水文地質勘察工作程序與水利工程建設程序如何銜接?
答:勘察工作程序是按照設計工作的階段進行劃分,劃分為規劃階段、可行性研究階段、初步設計階段、技施設計。其中,規劃階段可以對應建設程序中的項目建議書階段,技施階段對應施工準備階段以及建設實施階段的工作,參見考試用書《水利水電工程管理與實務》第136~140頁。
23.勘察的基本方法有哪些?
答:勘察的基本方法中,施工中常用的是勘探與取樣的基本方法,包括鉆探、井探、槽探、洞探、地球物理勘探。
24.工程地質條件與水文地質條件主要區別有哪些?
答:通常地質條件包含水文地質條件。水利水電工程與其他土建工程的根本區別是工程與水密不可分,有水才有水利水電工程。從工程建設角度來說,水也是增加工程建設難度的一個最主要方面,特別是地下水。所以需要將水文地質特別加以強調。
25.水利水電工程常見地質問題有哪些?
答:水利水電工程常見地質問題包括壩基巖體、邊坡、地下洞室圍巖、水庫及軟土基坑等工程中諸如變形、滲漏、穩定及降排水等方面的問題,具體詳見考試用書第13~15頁。
26.水利工程項目與水電工程項目在設計階段劃分方面有何區別?
答:水利工程項目與水電工程項目根據其行業不同特點和習慣,在設計階段劃分方面有所不同,具體詳見考試用書第40頁。
27.什么是圍堰閉氣?
答:圍堰的主要作用是防止水進入修建永久性水工建筑物的位置,便于建筑物施工。通常圍堰施工完成后,需要采取進一步的措施,阻斷滲流進入基坑,創造干地施工的條件,稱之為圍堰閉氣。
如果您在此過程中遇到任何疑問,請登錄環球網校一級建造師考試論壇,隨時與廣大考生朋友們一起交流!
編輯推薦:
28.施工工期緊,可以快速降低基坑水位嗎?
答:快速是相對而言,排水方法得當,速度可以加快,否則欲速不達。方法得當的一個重要標準是防止因為排水造成基坑以及圍堰邊坡發生塌坡事故。
29.經緯儀后的數字07、1、2、6、10等具體表示什么?
答:數字表示的儀器精度。數字07、1、2、6和10表示該類儀器一測回方向觀測中誤差的秒數分別為0.7″、1″、2″、6″和10″。
30.什么是控制測量?
答:在測區內,按測量任務所要求的精度,測定一系列控制點的平面位置和高程,建立起測量控制網,作為各種測量的基礎,這種測量工作稱為控制測量。
包括:①平面控制測量,為測定控制點平面坐標而進行的;②高程控制測量,為測定控制點高程而進行的;③三維控制測量,為同時測定控制點平面坐標和高程或空間三維坐標而進行的。
31.什么是地形測量?
答:地形測量指的是測繪地形圖的作業。即對地球表面的地物、地形在水平面上的投影位置和高程進行測定,并按一定比例縮小,用符號和注記繪制成地形圖的工作。
32.什么是地籍測量?
答:地籍測量是指對土地及有關附屬物的權屬、位置、數量和利用現狀所進行的測量。
33.什么是工程測量?
答:工程建設和資源開發的勘測設計、施工、竣工、變形觀測和運營管理各階段中進行的各種測量工作的總稱。
34.什么是偏心測量?
答:所謂全站儀偏心測量就是反射棱鏡不能安置在待測點的鉛垂線上,而是安置在與待測點相關的某處,間接地測定待測點的位置。如當棱鏡難以直接安置在樹木的中心,煙囪、水池的中心等目標點上時,可使用全站儀偏心測量。
根據偏心測量的條件不同,目前全站儀偏心測量有四種常見方式:角度偏心測量、單距離偏心測量、圓柱偏心測量和雙距離偏心測量。
① 角度偏心測量
如圖1所示,全站儀安置在某一已知點A,并照準另一已知點B進行定向;然后,將偏心點C(棱鏡)設置在待測點P的左側(或右側),并使其到測站點A的距離等于待測點P到測站點的距離;選擇程序功能對偏心點進行測量;最后再照準待測點方向,儀器就會自動計算并顯示待測點的坐標。

圖1 角度偏心測量
顯然,角度偏心測量適合于待測點與測站點通視,但其上無法安置反射棱鏡的情況。計算公式如下:

式中 S、α ―― 測站點A到偏心點C(棱鏡)的斜距和豎直角;
xA、yA ―― 已知點A的坐標;
αAB ―― 已知邊的坐標方位角;
β ―― 未知邊AP與已知邊AB的水平夾角,當未知邊AP在已知邊AB的右側時,取“―β”。
② 單距離偏心測量
如圖2所示,待測點P與測站點A不通視。欲測定P點,將全站儀安置在已知點A,并照準另一已知點B進行定向;將反射棱鏡設置在待測點P附近的一個適當位置C.選擇程序功能后輸入待測點P與偏心點C之間的距離d和CA與CP的水平夾角θ(偏心角),并對偏心點C進行觀測,儀器就會自動顯示待測點P 的坐標(xP,yP)或測站點到測點的距離D和方位角αAP.

圖2 單距離偏心測量
顯然,單距離偏心測量適合于待測點與測站點不通視的情況。計算公式如下:

式中 xC、yC ―― 偏心點C的坐標;
β ―― 邊AC與已知邊AB的水平夾角,當β和θ為右角時,式(4)取“-β”和“-θ”。
?、?圓柱偏心測量
圓柱偏心測量是單距離偏心測量的一個特殊情況,待測點P為某一圓柱形物體的圓心,如圖3所示。觀測時,全站儀安置在已知點A,并照準另一已知點 B進行定向;然后,將反射棱鏡設置在圓柱體的一側C點,且使AC與圓柱體相切;輸入圓柱體的半徑R,并對偏心點C進行觀測,儀器就會自動計算并顯示待測點的坐標(xP,yP)或測站點至待測點的距離D和方位角αAB.其計算公式與單距離偏心測量相同,只不過用R和90°代替d和θ。

如果您在此過程中遇到任何疑問,請登錄環球網校一級建造師考試論壇,隨時與廣大考生朋友們一起交流!
編輯推薦:
圖3 圓柱偏心測量
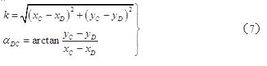
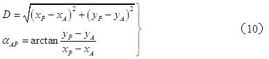
④ 雙距離偏心測量
雙距離偏心測量是利用專制的兩點式棱鏡(兩棱鏡的間距為一定值f,如SET500全站儀f為0.5m)方便有效地測定出隱藏點的點位。如圖4所示,將全站儀安置在已知點A,并照準另一已知點B進行定向;然后將兩點式棱鏡對準待測點P(無須正交),分別測量D和C兩點式棱鏡并輸入C點到待測點P的距離v(相當于棱鏡高),儀器便可計算并顯示待測點P的坐標(xP,yP)或測站點至P點的距離D和方位角αAP.

圖4 雙距離偏心測量
其具體計算公式為:
D點的坐標

C點的坐標

D、C間的平距k和方位角αAP

C、P間的平距d

P點的坐標

測站點到待測點的D和方位角αAP

式中 βC、βD ―― 邊AC和AD與已知邊AB的水平夾角,當未知邊AC和AD在已知邊AB的右側時,式中取“-βC”和“-βD”。
如果您在此過程中遇到任何疑問,請登錄環球網校一級建造師考試論壇,隨時與廣大考生朋友們一起交流!
編輯推薦:
35.什么懸高測量?
答:所謂懸高測量,就是測定懸空點或人員難以接觸和到達的點的高度。
懸高測量的原理如圖5所示,A為儀器站,可以選擇合適位置任意安置;B為棱鏡站;M為待測懸高點;B、M兩點必須在同一鉛垂線上。

圖5 懸高測量原理示意圖
根據圖形的幾何關系可以推出M點到地面的高度H和M的高程HM:

36.什么是對邊測量?
對邊測量是指間接地測定遠處兩測點間的斜距、平距和高差。
對邊測量可以連續測量第1個目標點(即起始點)與第2個、第3個……目標點之間的斜距、平距和高差。其原理如圖6所示。

圖6 對邊測量原理示意圖
在與P1、P2通視的任一點P上安置全站儀,首先觀測P至P1、P2的斜距S1、S2,豎直角α1、α2,以及PP1至PP2間的水平夾角β,然后可由余弦公式計算P1P2的平距D和高差h:

37.雙面水準尺紅面底部起始數字一般為4687mm或4787mm,起什么作用?
答:用雙面水準尺法進行水準測量時,有前視尺與后視尺之分,一個測點要同時讀取一根水準尺的黑面和紅面刻劃的讀數(包括前視尺與后視尺),這樣可以相互校核,避免誤讀。同時前視尺與后視尺紅面底部起始數字一個為4687mm,另一個為4787mm,也是防止誤讀的一個手段。
38.什么是測站點?
答:所謂測站點,即光學經緯儀對中的地面標志點。
使用儀器之前,首先要把經緯儀安置在設置有地面標志的測站點上,且需經對中、整平后方能使用。對中的目的是使儀器的中心與測站點的標志中心處于同一鉛垂線上。整平的目的是使儀器的豎軸豎直,同時使水平度盤處于水平位置。
39.什么是平距、高差和坐標增量?
① 平距為兩點投影到水平面上后點位的的距離,如圖7中點P1、P2的平距為D.
?、?高差是兩點間高程之差,如圖7中點P1、P2的高差為h.
?、?坐標增量是坐標的增加值。

圖7 平距、高差示意圖
如果您在此過程中遇到任何疑問,請登錄環球網校一級建造師考試論壇,隨時與廣大考生朋友們一起交流!
編輯推薦:
40.平面放樣方法中,什么是極坐標法?
答:極坐標法應用了數學中的極坐標原理,以某一控制點為極點,通過該控制點的某已知方向為極軸,通過測設一個角度和一段距離來確定地面點的平面位置。此法適用于量距方便,且欲放樣的點距離控制點較近的情況。若采用全站儀放樣則不受這些限制。
41.平面放樣方法中,什么是直角交會法?
答:直角交會法應用了數學中的直角坐標原理,以確定待定點在地面上的平面位置。當施工場地建有彼此垂直的主軸線或建筑方格網,而待測設點離控制網的邊線較近且便于量距,就可以用直角交會法來測設待定點位。
42.平面放樣方法中,什么是角度交會法?
答:角度交會法應用了前方交會法的原理,用經緯儀從兩個(或兩個以上)控制點分別測設出兩個(或兩個以上)已知水平角的方向,交會出待定點的地面位置。該法適用于待測設點離控制點較遠或量距較困難的地方。
43.平面放樣方法中,什么是距離交會法?
答:距離交會法,放樣點位是根據測設的兩段距離交會出地面點的平面位置。該法適用于測設點處于距控制點的距離不超過一個尺段長度,且便于量距的地方。施工時,細部點的測設常用該法。如采用全站儀則不受距離長度的限制。
44.地球曲率為多少?
答:地球曲率取地球半徑(6371km)的倒數。
45.什么是水準儀的i角?
答:水準儀的視準軸與水準軸一般既不在同一平面內,也不相互平行,而是兩條空間直線,亦即它們在垂直面上和水平面上的投影都是兩條相交的直線。在水平面上投影的交角稱為φ角誤差,也叫交叉誤差;在垂直面上投影的交角就是i角誤差。
水準測量的基本原理是根據水平視線在水準標尺上的讀數,從而求得各點間的高差,而水平視線的建立又是借助于水準器氣泡居中來實現的。因此,水準儀視準軸與水準軸必須滿足相互平行這一重要條件,當視準軸與水準軸不能保持相互平行的關系,則水準器氣泡居中時,視準軸勢必不水平,最后將影響觀測高差的正確性。但是,視準軸與水準軸相互平行的關系是難以絕對保持的,而且在儀器使用過程中,這種相互平行的關系也還會發生變化。
46.什么是尺長方程式?
答:鋼尺由于材料原因、刻劃誤差、長期使用的變形以及丈量時溫度和拉力不同的影響,其實際長度往往不等于尺上所標注的長度(即名義長度),因此,丈量前應對鋼尺進行檢定。
經過檢定的鋼尺,其長度可用長度方程式表示,即

式中 lt ―― 鋼尺在溫度t時的實際長度;
l ―― 鋼尺的名義長度;
Δl ―― 尺長改正數,即鋼尺檢定時的實際長度減去其名義長度;
α ―― 鋼尺的膨脹系數;
t ―― 鋼尺使用時的溫度;
t0 ―― 鋼尺檢定時的溫度。
47.什么是最或是值?
答:最或是值,即算術平均值或似真值。
如果您在此過程中遇到任何疑問,請登錄環球網校一級建造師考試論壇,隨時與廣大考生朋友們一起交流!
編輯推薦:
最新資訊
- 考情變了,路怎么走?12月9日一級建造師考試專場,等你來問2025-12-09
- 2026年一級建造師考試要考英語?別信,假的2025-12-05
- 2026年一級建造師考試形式是什么?一文讀懂所有細節!2025-12-02
- 2026年一級建造師考試哪科更難?如何備考?2025-12-01
- 假的!沒有招募一級建造師考試閱卷老師!2025-11-27
- 一級建造師考完了,該繼續增項還是考其他證書?深度解析2025-11-26
- 一級建造師證書能用多久?年齡限制全解析2025-11-26
- 50歲了還有沒有必要考一級建造師?2025-11-24
- 一級建造師和二級建造師考試的區別有哪些?2025-11-24
- 2026年一級建造師考試增設科目?真相揭秘與備考建議2025-11-22