一級建筑師考試建筑結構輔導:建筑力學1
建筑力學包括靜力學、材料力學、結構力學三部分。
第一節 靜力學基本方法
靜力學研究物體在力作用下的平衡規律。
一、靜力學基本概念
(一)工程中常見的幾種典型約束的性質以及相應約束反力的確定方法列于表9-1中。
(二)力在坐標軸上的投影

過力矢F的兩端A、B,向坐標軸作垂線,在坐標軸上得到垂足a、b,線段ab,再冠之以正負號,便稱為力F在坐標軸上的投影。如圖9-1中所示的X、Y即為力F分別在x與y軸上的投影,其值為力F的模乘以力與投影軸正向間夾角的余弦,即:
X=|F|cosα
X=|F|cosβ (9-1)
若力與任一坐標軸x平行,即α=0˚或α=180˚時:
X=|F|或X=-|F|
若力與任一坐標軸x垂直,即α=0˚時:
X=0
(三)力矩與力偶
1.力對點之矩
力對剛體的運動效應包括兩種:移動和轉動。力對點之矩是度量力使物體繞該點轉動效應的物理量。
在空間問題中,力對點之矩為矢量,其方向由右手定則確定,如圖9-2所示。
式中d為力到矩心O的垂直距離,稱為力臂。習慣上,力使物體繞矩心逆時針轉動時,(9-2)式取正號,反之取負號。
2.力矩的性質
(1)力對點之矩,不僅取決于力的大小,同時還取決于矩心的位置,故不明確矩心位置的力矩是無意義的。
(2)力的數值為零,或力的作用線通過矩心時,力矩為零。
(3)合力矩定理:合力對一點之矩等于各分力對同一點之矩的代數和,即:(9-3)
3.力偶
大小相等、方向相反、作用線平行但不重合的兩個力組成的力系,稱為力偶。用符號(F,F')表示。如圖9-3所示。圖中的L平面為力偶作用平面,d為兩力之間的距離,稱為力偶臂。
4,力偶的性質
(1)力偶無合力,即不能簡化為一個力,或者說不能與一個力等效。故力偶對剛體只產生轉動效應而不產生移動效應。
(2)力偶對剛體的轉動效應用力偶矩度量。
在空間問題中,力偶矩為矢量,其方向由右手定則確定,如圖9-3所示。
在平面問題中,力偶矩為代數量,表示為:
m=±Fd (9-4)
通常取逆時針轉向的力偶矩為正,反之為負。
(3)作用在剛體上的兩個力偶,其等效的充分必要條件是此二力偶的力偶矩矢相等。
由此性質可得到如下推論:
推論1 只要力偶矩矢保持不變,力偶可在其作用面內任意移動和轉動,亦可在其平行平面內移動,而不改變其對剛體的作用效果。因此力偶矩矢為自由矢量。
推論2 只要力偶矩矢保持不變,力偶中的兩個力及力偶臂均可改變,而不改變其對剛體的作用效果。
由力偶的上述性質可知,力偶對剛體的作用效果取決于力偶的三要素,即力偶矩的大小、力偶作用平面的方位及力偶在其作用面內的轉向。
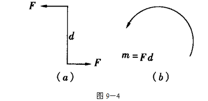
圖9-4(a)、(b)表示的為同一個力偶,其力偶矩為m=Fd

(四)力的平移定理
顯然,力可沿作用線移動,而不改變其對剛體的作用效果,現在要來研究如何將力的作用線進行平移。

如圖9―5所示,在B點加一對與力F等值、平行的平衡力,并使F=F'=―F'',其中F與F''構成一力偶,稱為附加力偶,其力偶矩m=Fd=mB(F)。這樣,作用于A點的力F與作用于B點的力F,和一個力偶矩為m的附加力偶等效。由此得出結論:作用于剛體上的力F可平移至體內任一指定點,但同時必須附加一力偶,其力偶矩等于原力F對于新作用點B之矩。這就是力的平移定理。
最新資訊
- 2026年一級建筑師《建筑經濟施工與設計業務管理》考點2025-12-01
- 2026年一級建筑師《建筑材料與構造》考點:地基與基礎2025-11-04
- 2026年一級建筑師高頻考點:關于不穩定傳熱2025-10-07
- 2026年一級建筑師高頻考點:建筑材料的分類2025-10-02
- 2026年一級建筑師《建筑設計》考點:公共建筑的總體環境布局2025-09-28
- 2026年一級建筑師《設計前期與場地設計》考點:城鄉規劃2025-09-24
- 2026年一級建筑師《設計前期與場地設計》高頻考點:民用建筑選址2025-09-07
- 2026年一級建筑師《設計前期與場地設計》高頻考點:基地出入口2025-08-21
- 2026年一級注冊建筑師高頻考點:建筑控制線2025-08-17
- 免費直播:2025年一級建筑師考試真題及解析(5.17考試)2025-05-20