2014年成人高考專升本高等數學公式總結四
更新時間:2014-05-14 09:57:12
來源:|0
瀏覽
收藏
成人高考報名、考試、查分時間 免費短信提醒
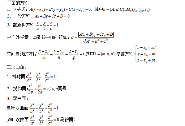
摘要 成人高考專升本高等數學公式總結四
編輯推薦
最新資訊
- 2025年成人高考英語作文模板2025-10-13
- 2025年成人高考各科目備考建議2024-12-12
- 2024年成人高考英語書信作文萬能模板2024-10-16
- 2024年10月成人高考專升本政治考前沖刺必背重點80個(61-80個)2024-10-14
- 2024年10月成人高考專升本政治考前沖刺必背重點80個(41-60個)2024-10-14
- 2024年10月成人高考專升本政治考前沖刺必背重點80個(21-40個)2024-10-14
- 2024年10月成人高考專升本政治考前沖刺必背重點80個(1-20個)2024-10-14
- 2024年成人高考英語書信作文萬能模板:投訴信2024-10-14
- 2024年成人高考英語書信作文萬能模板:詢問信2024-10-14
- 2024年成人高考英語書信作文萬能模板:請求信2024-10-13

