2008年11月二級物流師考試真題及參考答案
一、判斷題:(每題0.5分,共25分)正確的涂A,錯誤的涂B
1.物流是流通的物質基礎,沒有物流,亦就沒有流通。A4
2.在物流系統中,“物”不改變本身的形狀、尺寸和性質,只有時間或空間位置的狀態變化。 A4
3.一個企業的物流狀況不能完全反映其管理水平的高低。 B12
4.企業物流系統的垂直結構是根據物流活動發生的先后次序劃分的。 B10
5.企業的第三利潤是通過企業物流合理化來取得的。A11
6.運輸的起點是“裝”的作業,其終點是“卸”的作業,因此裝卸搬運活動在物流中占有重要地位,它本身也具有明確的價值。 B48
7.供應商戰略是站在采購方的立場考慮與供應商的關系程度及其發展程度的戰略。B8
8.對于進貨難度小以及風險小的進貨任務,企業首選是第三方物流公司的進貨方式。 B24
9.總成本最低的原則是進貨管理中貫穿始終的原則。 B24
10.“縱向一體化”的主要缺點是企業難以形成突出的核心優勢,采用這種模式會增大企業的行業風險。 A220
11.供應鏈上各企業之間不存在競爭關系,只存在合作聯盟關系。B224
12.供應鏈管理主要涉及供應、物流、需求三個領域。 B225
13.供應鏈管理是強調核心企業與世界上最杰出的企業建立戰略合作關系,這樣不僅可提高本企業的競爭能力,而且使供應鏈上的其他企業都能受益。A221
14.根據貨物周轉率來安排貨位時,周轉率越大的貨物應離出入口越遠;反之越近。B40
15.ABC分析法是一種定量庫存控制方法,得到了廣泛的使用。b65(是分類管理辦法)
16.經濟訂購批量是指,庫存總成本最小時的訂購量,簡稱訂貨量。 b69
17.庫存風險成本是根據商品的價值和類型來確定的,商品的價值越高,當丟失或損壞時,其風險成本就越高。 B70
18.雙堆法或三堆法是定量庫存控制方法的簡化形式,這兩種方法簡便易行,無須經常盤點。它們比較適合于價值低、備運時間短、供應充足的商品。A73
19.單價便宜、品種數量多、但需求預測較困難的商品適宜使用定期訂貨法來進行庫存控制。B73
20.物流系統模式是由輸入、輸出、處理和反饋等四部分組成。B40
21.物流系統設計必須具備P、Q、R、S、T 這幾方面的基本資料。B41
22.集裝單元化原則,既屬于裝卸搬運作業合理化原則,也屬于倉儲合理化原則。A161
23.物品的活性是指,從物品的靜止狀態轉變為裝卸狀態的難易程度。A50
24.當對建筑工程、出口等可確定需求量的貨物進行庫存控制時,宜采用定期庫存控制方法。 A75
25.配送信息管理系統應該包括倉儲管理系統、車輛調度系統、配貨系統和財務會計系統。 B109
26.從信息特征方面來考察保管型倉庫與配送中心的區別,主要在于:前者貨物的狀況與信息是一致的,而后者是不一致的。 B92
27.物流配送中心是在20世紀70年代石油危機之前,為挖掘物流過程的經濟潛力,對物流過程進行了細分,而出現的物流設施。 b93
28.集裝單元化技術是物流系統中的一項先進技術,它適合于小批量、短距離貨物的輸送。 B161
29.配送是以供應者送貨到戶式的服務性供應,是一種“門到門”的服務形式,屬于“終端運輸”。 B57
30.來自企業內生產、財務等部門的信息屬于物流系統內信息。 B63
31.傳統倉庫是以物資保管為主要功能,而配送中心除保管外,還具有分揀、流通加工、檢驗等功能。A92
32.快件運輸的貨物處理中心是屬于非商業貨物配送中心。A95
33.對于綜合型配送中心來說,應具有儲存、分揀和流通加工等功能。A96
34. 配送中心模式是指配送中心這一經濟實體的各個基本要素的標準運作形式。這種模式主要是通過人們的主觀愿望設計出來的。 B97
35.從屬性、即時性、移動性和分散性、可替代性以及需求波動性是物流客戶服務的基本特點。 B78
36.物流服務的服務對象大多數是固定客戶,這樣就能較深入地了解客戶的物流需求。 B78
37.物流服務為能適應不斷變化的市場競爭環境,企業常需要借助產品生命周期理論來建模。B87
38.物流企業所發生的各項成本和費用之和,構成了它的物流成本。 A98
39.集商流、物流、信息流和資金流四流合一的配送中心模式是屬于基于銷售的配送中心模式。b99
40.物流與信息流相結合的最突出形式就是條碼技術在物流中的應用。a
41.共同配送的主體只能是貨主,第三方物流公司是不可以采用共同配送方式的。B131
42.零售商與批發商之間的物流共同配送,以及批發商與廠商之間的物流共同配送都屬于橫向共同配送的范疇。 B133
43.在國際貨運中,按運費的支付時間來劃分,通常有到付運費和預付運費兩種。A284
44.作業成本法的理論基礎是:產品消耗作業,作業消耗資源并導致成本的發生。因此這種成本核算是以作業為單位來計算的。 A117
45.作業決定著資源的耗用量,這種關系稱為作業動因。B117
46.先進的物流技術和先進的物流信息是提高物流能力、推動現代物流迅速發展的兩個車輪,二者缺一不可。B129
47.配送中心要素管理主要涉及到配送中心的商品儲存量的管理問題。 B108
48.物流中心在供應鏈上的地位不同,其業務內容也不同。若它處于制造商的上游,物流中心信息系統主要是根據生產節拍,實現JIT配送服務。A326
49.船舶單向航次時間稱為班期。它是根據航線里程、船舶航速、港口裝卸率和裝卸貨物的數量等因素決定的。 B258
50.從我國交通運輸結構情況來看,鐵路運輸所占比重上升較快,這與我國經濟發展和產業結構的變化有緊密的關系。B145
二、單選題:(每題0.5分,共25分)每題只有一個正確答案
51.企業要清楚辨別本企業的核心業務,然后就狠抓核心資源,以提高核心競爭力。這是( d )的管理思想。 224
A.JIT
B.OPT
C.“縱向一體化”
D.“橫向一體化”
52.供應鏈管理關心的并不僅僅是物料實體在供應鏈中的流動,而是注重供應鏈總的物流成本與( c )之間的關系。 224
A.物流效益水平
B.企業利潤水平
C.用戶服務水平
D.企業效率
53.物流系統設計要素中“R”是表示( c )。 41
A.所研究的商品種類
B.商品的數量
C.商品的流向
D.物流成本
54.從生產與消費兩方面來看,產品生產與消費的節奏是不相同的。這就需要通過( b )來協調。 47
A.流通加工
B.倉儲
C.運輸
D.配送
55.對庫存時間較長的貨物來說,如何放置、放置在何處等問題應由( c )決定的。 38
A.儲存策略
B.倉儲計劃
C.貨位管理
D.貨位編碼
56.某百貨公司的倉庫進了一批香皂、餅干、藥品、洗衣粉等貨品,對這些貨品進行儲存時,宜采取( a )方式。 39
A.分類儲存
B.定位儲存
C.隨機儲存
D.分類隨機儲存
57.要對庫存進行有效的管理和控制,首先要對存貨進行處理,采用( d )可以達到分清主次、抓住關鍵。 67
A.ABC分析法
B.JIT管理法
C.CVA管理法
D.ABC分析法和CVA管理法相結合
58.定量庫存控制是指庫存量下降到( c )時,按固定的訂購數量進行訂購的方式。 67
A.訂購點
B.訂購批量
C.安全庫存量
D.最低庫存量
59.定期庫存控制方法的關鍵在于確定( d )。 75
A.最大庫存量
B.訂購周期
C.訂購點
D.訂購周期和最大庫存量
60.食品、水果、蔬菜、鮮花、肉類、活魚等在進行配送時適合采用( a )。
A.日配
B.準時制配送
C.定量配送
D.共同配送
61.對物流系統進行系統分析,是為了把握物流系統行為的( d ),進而可以對物流系統的設計、改善和優化做出正確的決策。 67
A.相互作用
B.內在聯系
C.固有的系統特征
D.內在規律性
62.為滿足來自不同渠道的各種服務需求,在多渠道的物流服務條件下,配送產品的流量一般都較小,同時還需提供一些特殊的物流服務,隨之提高了物流費用,這種激烈競爭狀況增加了物流服務的復雜性。這是屬于產品生命周期的( c )物流服務的特點。 88
A.導入階段
B.成長階段
C.成熟階段
D.衰退階段
63.當倉庫確切知道各貨品的進出庫時間時,不同的貨品則可采取( c )的方式。 40
A.隨機儲存
B.分類儲存
C.共同儲存
D.定位儲存
64.在物流方案中( a )環節占據著至關重要的地位,它既是物流過程的重要組成部分,又是產生成本的重要環節,同時也是制約我國物流發展的一個大瓶頸。 87
A.配送
B.運輸
C.倉儲
D.流通加工
65.商業貨物配送中心和非商業貨物配送中心是按(d )來進行分類的。95
A.配送服務對象
B.經營主體
C.社會化程度
D.配送貨物的性質
66.由專業物流公司根據用戶的要求進行貨物的分類、配貨、裝車,并定時將貨物送到生產廠的生產流水線上。這種配送方式屬于( a )模式。 99
A.基于供應的配送中心
B.基于銷售的配送中心
C.基于資源集成的配送中心
D.基于生產的配送中心
67.EDI技術在物流中的( c )得到了廣泛的應用,制造者可通過應用EDI,能在同一天向其所有零售地發送貨物。127
A.運輸環節
B.入庫環節
C.發運環節
D.儲存環節
68.某公司要將貨物從N個倉庫運往到M個商店,要求所耗費的運費最小。要解決這個問題,可利用( b )。127
A.EDI技術
B.GIS技術
C.GPS技術
D.ERP系統
69.各種運輸方式的合理分工和協調發展是綜合運輸體系的( d )。
A.基本條件
B.前提
C.基礎
D.核心問題
70. 國際多式聯運是一種以實現貨物整體運輸的最優化效益為目標的聯運組織形式,它通常是以( c )為運輸單元的。 145
A.成箱貨物
B.件雜貨
C.集裝箱
D.散裝貨物
71.在國際多式聯運中陸橋運輸起著非常重要的作用,它是( a )國際多式聯運的主要形式。 148
A.遠東―歐洲
B.遠東―中南美
C.遠東―非洲
D.遠東―澳洲
72.距離是影響運輸成本的主要因素,距離與運輸成本的關系應是( b )。152
A.遞增關系
B.遞減關系
C.相關關系
D.正比關系
73.運用“節約法”優化配送路線時,首先必須做出如下假設:配送給各用戶的坐標及需求量均為已知;配送中心要有足夠的運輸能力和( c )167
A.配送的貨物是不同用戶的
B.配送的貨物是同一個貨主的
C.配送的是同一種貨物
D.配送的是二種以上的貨物
74.將型號比較陳舊的但還能使用的電腦運到山區,給山區上學的學生使用,這種貨物運輸需求是由( d )而形成的貨流。171
A.因自然資源條件不同
B.因經濟發展和社會分工的加深
C.因生產力布局上的要求
D.為實現商品的社會效用
75.家具、大型電器、大型樂器等商品適合于(a )的配送方式。95
A.面向最終消費者的配送中心
B.面向制造企業的配送中心
C.面向零售商的配送中心
D.零售商為主導型配送中心
76.根據物流信息在物流活動中的作用不同,物流信息一般可分為( b )類。63
A.三類
B.五類
C.七類
D.九類
77.由于用戶在同一時間提出的訂貨品種不完全相同,訂貨數量也不等,同時提供商品的時間也不一致,這就要求配送中心有能力將專門供貨系統提供的商品進行匯集,然后再根據用戶的要求進行分揀和分送。這一功能主要是依靠( b )實現的。125
A.自動識別技術
B.電子票簽揀貨技術
C.EDI技術
D.地理信息系統
78.在裝卸煤炭、石油、小汽車等不同種類的貨物時,對裝卸質量和工藝要求是不同的,這反映了運輸需求的( a )特性。 172
A.異質性
B.派生性
C.不平衡性
D.不規律性
79.像航空運輸這種只有少數運輸企業控制整個運輸市場的供給和銷售的運輸市場,稱作為( d)。 173
A.完全壟斷市場
B.完全競爭市場
C.壟斷競爭市場
D.寡頭壟斷市場
80.企業生產物流系統設計的核心內容是物料、方法和( b )。211
A.生產布局
B.物流移動的距離和路線
C.工位器具
D.搬運設備
81.MRP的輸入數據主要有三種,其中庫存記錄文件是由( b )組成。231
A.二個數據段
B.三個數據段
C.四個數據段
D.五個數據段
82.精益物流系統改變了傳統的設備布置方式,采用了( c )布置方式。 241
A.L型
B.二字型
C.U型
D.雙排型
83.生產企業物流系統可以看作是將原材料轉化為產品的系統,在這個系統中生產產品所需的全部資源,如廠房、機器、工人等都屬于( a )。247
A.制造資源
B.物流資源
C.人力資源
D.生產資源
84.在OPT的物流原則中提出使各個工序都與瓶頸工序同步,以求生產周期最短、在制品最少。這就是所謂的( b )。 247
A.生產能力的平衡
B.物流的平衡
C.供銷的平衡
D.產銷的平衡
85.西伯利亞大陸橋是目前世界上最長的一條陸橋運輸線,它在溝通( b )與促進國際貿易中起著重要的作用。 148
A.遠東與北美
B.亞歐大陸
C.中東與南非
D.遠東與歐洲
86.( a)打破了MRPⅡ只局限在傳統制造業的格局,并把它的觸角伸向各行各業。237
A.ERP
B.MRP
C.MRS
D.DRP
87.精益物流系統認為( b)不僅是一種浪費,還會掩蓋企業中的潛在問題,因此一定要積極地去解決這些問題。242
A.包裝
B.存儲
C.運輸
D.配送
88.( d )是國際海上貨物運輸中最重要的單證之一。267
A.海上運輸合同
B.到貨通知
C.交貨記錄
D.提單
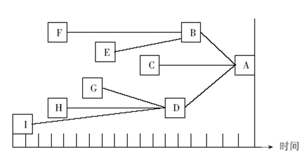
89.產品結構越復雜,零部件的裝配組合層次就越多,一般用樹形結構來表示產品的結構以及與時間的關系。下圖表示某產品的結構與時間的關系,它表示只有當( d )后,A產品才能完成。 230

A.F、E、B完成
B.I、H、G、D完成
C.E、C、G、D完成
D.B、C、D完成
90.MRPⅡ是在閉環MRP系統的基礎上出現的,它是為了克服閉環MRP只解決企業生產管理方面的問題,而忽視了與生產密切相關的( c )問題。235
A.經營管理
B.安全管理
C.財務管理
D.人才管理
91.根據《國際海事委員會海運單統一規則》規定:“如信用證無特殊規定,銀行將拒收運輸單據簽發日期后超過( b )才提交的單據。在任何情況下,交單不得晚于信用證到期日。” 272
A.16天
B.21天
C.25天
D.30天
92.在國際貿易中,按照國際金融市場和銀行業務的慣例,出口商(賣方)向銀行結匯(議付貨款)所提交的提單,必須是( a )。268
A.已裝船提單
B.收貨代運提單
C.指示提單
D.記名提單
93.物流信息系統是物流中心的( c ),一個物流信息系統構建是物流中心能否發揮作用的關鍵。 325
A.基礎
B.前提條件
C.靈魂
D.核心
94.物流標準化是指以( a )為對象,圍繞運輸、儲存、裝卸、包裝以及物流信息處理等制訂、發布和實施有關技術和工作方面的標準。 195
A.物流系統
B.物流活動
C.供應鏈
D.物流企業
95.企業的部門負責人在制訂中期決策時所需要的信息,如單位產品的制造成本、庫存費用、市場商情等都是屬于( c)信息。63
A.知識管理
B.操作管理
C.戰術管理
D.戰略管理
96.為迎接2008年奧運會,北京將各種標語牌、路牌等都用統一了書寫格式,以便外國游人識別。這就要求信息設計要做到( a )。
A.規范化
B.統一化
C.可讀化
D.實用化
97.隨著國際貿易和海上運輸的發展,提單的種類也越來越多。如按( d )劃分,可分為全式提單和簡式提單。 270
A.對貨物的外表狀況是否有不良批注
B.不同的運輸方式
C.簽發提單的時間
D.提單內容的繁簡
98.物流標準化和一般標準化系統不同,它涉及面更廣泛,因此物流標準化要求體現( c ),這是標準化的主要目的之一,也是標準化生命力如何的決定因素。 196
A.科學性
B.民主性
C.經濟性
D.國際性
99.在運用最優生產技術(OPT)的原理時,按照OPT的觀點,在特定的系統中,瓶頸資源的數目一般小于( b )。 247
A.3個
B.5個
C.7個
D.9個
100.

上面圖表示的是( b )的運作模式。 328
A.配送中心信息系統配送作業
B.產品分銷配送中心信息系統
C.分銷物流中心信息系統
D.配送中心信息系統補貨作業
三、多選題:(每題1.5分,共30分)每題至少有二個或二個以上的正確答案
101.社會物流成本又可稱為宏觀物流成本。基于社會物流成本的概念,它可分為( bcd )。97
A.物流企業物流成本
B.運輸成本
C.存貨持有成本
D.物流行政管理成本
E.貨主企業物流成本
102.物流成本與服務水平的效益背反和物流功能之間的效益背反統稱為( abc )。102
A.物流成本交替損益規律
B.物流成本效益背反規律
C.物流成本二律背反規律
D.物流成本悖反規律
E.物流成本交替規律
103.為了達到倉儲管理的目標,倉儲系統主要由( bce )等要素構成。33
A.貨場與貨架
B.人員與設備
C.貨品
D.專用線
E.儲存空間
104.為了保證倉儲績效評價真正發揮作用,在制訂倉儲績效考核指標時應遵循( cde )的原則。 47
A.可靠性與公正性
B.簡易性
C.可行性與可比性
D.協調性與穩定性
E.科學性
105.庫存持有成本中的變動成本主要包括:( bcde )。70
A.倉儲作業成本
B.資金占用成本
C.庫存服務成本
D.存儲空間成本
E.庫存風險成本
106.由于外部的原因造成貨物的中斷供應,稱之外部短缺。若發生外部短缺會導致發生( abc )的情況,此時會給企業造成很大的損失,應盡量避免。76
A.失銷
B.失去客戶
C.延期交貨
D.賠償損失
E.罰款
107.若以物流成本的形成階段作為物流成本的控制對象,就要從( bcde )的不同階段上,尋求物流技術的改善和物流管理水平的提高,來控制和降低各階段的物流成本。
A.倉儲物流
B.供應物流
C.生產物流
D.銷售物流
E.廢棄及回收物流
108.倉庫要對儲存作業進行評價時,一般可使用( ace )等指標來進行考核。49
A.庫存周轉率
B.設備利用率
C.設施空間利用率
D.人均作業能力
E.呆廢貨品率
109.海爾物流配送中心是屬于( ce )。
A.批發商主導型配送中心
B.零售商主導型配送中心
C.廠商主導型配送中心
D.公共配送中心
E.個別企業配送中心
110.JIT供應方式具有很多好處,主要有( bcd )等方面。
A.配送時間準時
B.零庫存
C.最大節約
D.零廢品
E.配送數量準確
111.綜合運輸體系是在五種運輸方式的基礎上組建起來的,它大致由( ade )組成。145
A.具有一定技術裝備的綜合運輸網及其結合部系統
B.綜合運輸指揮系統
C.綜合運輸信息系統
D.綜合運輸組織、管理和協調系統
E.綜合運輸生產系統
112.通常運輸需求應包括:( abe )等要素。170
A.運輸需求量與流向
B.運輸需求結構
C.運輸服務對象
D.運輸設備
E.運輸價格與流程
113.ERP與MRPⅡ的主要區別概括為( bcde )等方面。239
A.在資金管理方面的差別
B.在資源管理范圍方面的差別
C.在生產方式管理方面的差別
D.在管理功能方面的差別
E.在事務處理控制方面的差別
114.在企業生產運作和物流管理中,根據功能和應用對象的不同,看板管理可分為( ad )。 243
A.生產看板
B.加工看板
C.信號看板
D.取貨看板
E.供應看板
115.按配送中心的功能分類,可分為( cde )等。 96
A.共同型配送中心
B.批發型配送中心
C.通過型配送中心
D.集中庫存型配送中心
E.流通加工型配送中心
116.基于JIT的精益物流對于生產現場要不斷進行( abcde )等活動。240
A.整理
B.整頓
C.清潔
D.清掃
E.素養
117.集裝箱提單業務主要應包括:( bcde )等內容。279
A.提單的審核
B.提單的簽發
C.提單的更正與補發
D.提單的背書轉讓
E.憑保函簽發清潔提單
118.由于記名提單不能背書轉讓,因此在實踐中使用較少,一般僅在運輸( acd )時采用。 269
A.貴重物品
B.藥品
C.展品
D.援外物品
E.食品
119.班輪運費通常是由( de )所構成。 288
A.直航附加費
B.港口附加費
C.轉船附加費
D.基本運費
E.附加運費
120.區域性物流信息平臺是物流的載體,它包括( ace )因素的復雜網絡體系。340
A.基礎設施類
B.各類貨物
C.設備類
D.各種輔助設施
E.標準類
(第二部分)
一、簡答題:(每題2 分,共12分)
1.根據管理層次劃分,物流信息可分為哪幾種? 63
2.電子商務下的配送技術包括哪些內容?127
3.運輸成本是由哪些內容構成的? 151
4.編制運輸計劃應遵循哪些基本原則? 158
5.MRPⅡ系統具有哪些特點? 236
6.ERP與MRP/MRPⅡ之間存在著哪些聯系? 237
二、計算題:(每題8分,共16分)
1.某公司年度計劃銷售目標為9萬元,預計年度周轉率為15次,實際上由于市場需求量上升,一季度實現銷售額每月平均8000元,預計4月份銷售額為8650元,則該公司4月期初的庫存額應調整為多少?
[注:請寫出計算公式和計算步驟,只寫答案無分] 64
2.某航線二端點港年貨物發運量不同,一端點港年貨物發運量為36萬噸,另一端點港年貨物發運量為42萬噸,船舶的額定載重量為1.5萬噸,船舶載重利用率平均為0.9,船舶往返航次時間是108天,請問此航線需配置同類型的船舶數是多少?該航線發船間隔應為多少? 259
[注:請寫出計算公式與計算步驟,只寫答案無分]
三、論述題:(每題8分,共32分)
1.論述物流系統分析的特點。 69
2.論述一種完整意義上的配送中心模式――基于資源集成配送
中心模式的特點。100
3.集裝箱提單正面條款有哪幾部分組成?它們具體說明什么問題? 272
4.論述自動化倉儲系統的發展趨勢。 160
四、案例分析:(共20分)
廢舊電池回收物流
廢舊電池經過長期機械磨損和腐蝕,使其內部的重金屬和酸堿等泄漏出來,進入土壤或水源,就會通過各種途徑進入人的食物鏈,危害人類的健康。我國電池產量約占全世界電池產量的1/2強,近年我國電池出口貿易快速增長,它已成為全球關注的重點行業。
歐盟在2006年5月通過一項指令,要求從2008年開始,強制回收廢舊電池,回收費用由生產廠家負擔。
歐盟該指令要求:從2009年開始,所有在歐盟境內銷售的電池都必須標明具體使用壽命;2012年之前,歐盟境內1/4的廢電池必須被回收;到2016年時,這一比例應達到45%。這項指令目前已獲歐盟理事會與歐盟議會批準,即將成為歐盟法律。
我國作為世界電池制造和出口大國,歐盟的該項法令對我國電池制造業的回收問題提出了嚴峻考驗。
請為我國的舊電池回收找出問題癥結所在,并提出可行性解決方案。
最新資訊
- 2016年11月物流師真題及答案2016-11-22
- 2012年5月二級物流師真題及參考答案2015-11-20
- 2011年11月三級物流師考試真題及參考答案2015-11-20
- 江蘇省2016年下半年物流師試題2015-11-19
- 2014年上半年三級物流師考試技能真題2014-06-17
- 2014年上半年三級物流師考試理論真題2014-06-17
- 2014年上半年二級物流師考試理論真題2014-06-17
- 2014年5月物流師三級專業技能真題2014-05-23
- 環球網校2014年5月物流師三級理論知識真題2014-05-23
- 環球網校2014年5月物流師二級理論知識真題2014-05-23
