2014年經濟師《中級房地產》章節輔導:投資項目不確定性分析
第六節 房地產投資項目不確定性分析
考點一:不確定性分析包括的內容
不確定性分析包括:
1、盈虧平衡分析
2、敏感性分析
3、風險分析。
考點二:盈虧平衡分析的公式計算及評價原則

盈虧平衡的評價原則:
盈虧平衡點的值不論是用產量表示,還是用生產能力利用率表示;不論是用產品單價表示,還是用銷售額表示,都是越低越好。
考點二:敏感性分析的計算步驟和基本原理
[例6-7] 某人擬花300萬元購買一商業店鋪出租。購買后持有10年,第10年末將其轉讓。通過市場調研得知,購買該店鋪后第2年可租出,每年初一次性收取年租金,
年租金收入為80萬元,年經營成本為20萬元,第10年末轉讓的凈收入為380萬元。若投資者要求的目標收益率為10%,試對該投資方案進行經濟評價和敏感性分析。
應用分析
[解] 1.對該投資方案進行經濟評價
根據題意繪制該投資方案的現金流量圖如圖6-11所示

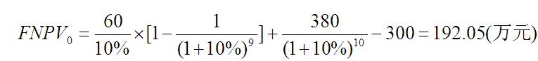
根據圖6-1 1,計算該投資方案的財務凈現值如下:

因為FNPV0(10%)=192.05(萬元)>0,所以該投資方案是可行的。
2.對投資方案進行敏感性分析
(1)選取評價指標。選取財務凈現值為該投資方案的評價指標。
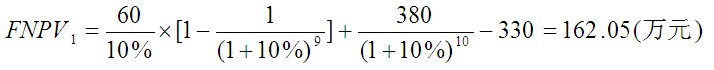
(2)選取不確定因素并設定其變動幅度。根據該投資方案的特點,選取投資額、年租金收入和年經營成本三個不確定因素,并令它們在初始值的基礎上按±10%和±20%的幅度變化。
(3)逐一計算各不確定因素變化導致的財務凈現值變化,并將結果列成敏感性分析表(見表6-11)。
當投資額增加10%時,投資額為300×(1+10%) =330
(萬元),相應的財務凈現值為:

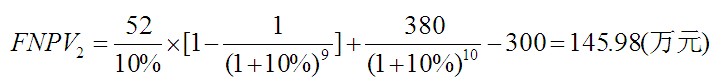
當年租金收入減少10%時,年租金收入為
80 ×(1-10%)=72(萬元),
年凈收益為72-20=52(萬元),
相應的財務凈現值為:

其他不確定因素變化的計算參照上述計算過程,將計算結果匯總于表6-11。
表6-11 單因素變化導致的財務凈現值變化 單位:萬元
(4)計算財務凈現值對各不確定因素的敏感度系數。
對投資額的敏感度系數:
對年租金收入的敏感度系數:
對年經營成本的敏感度系數:
由上可知,財務凈現值對年租金收入最敏感,其次是投資額,最后是年經營成本。年租金收入每下降1%,財務凈現值下降2.4%。
(5)臨界點分析。臨界點分析可通過敏感性分析圖進行,如圖6-12所示,臨界點的年租金收入下降幅度為41. 7%,投資額增加幅度為64.0%。
臨界點的近似值可從表6-11中計算出。要使原方案的財務凈現值為零,實際上就是使原方案財務凈現值下降幅度為100%。因為年租金收入下降1%,財務凈現值下降2.4%,所以當年租金收入下降
[(100÷2.4)/100] ×100%=41.67%時,財務凈現值為零。同樣可得,當投資額增加
[(100÷1.56)/100] ×100%=64.10%時,財務凈現值為零,年經營成本增加[(100÷0.6)/100] ×100%=166.67%時,財務凈現值為零。
考點三:房地產投資項目風險分析測度
(期望值、標準差、變異系數的計算)
[例6-9] 有方案I、方案Ⅱ兩個投資方案,其年平均利潤可能值及其發生概率見表6-14。請進行風險決策分析。
表6-14 方案I和方案Ⅱ的年平均利潤可能值及其發生概率 單位:萬元
[解] ①求出兩個投資方案的利潤期望值
因為E1 >E2,似乎應選方案I,但進一步分析其利潤的標準差,會發現選擇方案I并非上策。
②計算兩個方案利潤的標準差
顯然, σ1比σ2大得多,即方案I的風險比方案II大得多,而兩個方案的利潤期望值又很接近,因此應選擇方案II。
需要特別注意的是:用標準差來測度和比較兩個以上投資方案的風險大小,要求這些方案的評價指標期望值相同或相近,當它們的評價指標期望值不相同也不相近時,要用變異系數來測度和比較風險的大小。
③變異系數。變異系數也稱為投資風險度,等于標準差與期望值之比。用標準差來測度投資項目的風險時,可能會出現一個投資成本較高,預期現金流量較大的方案,通常比投資成本較小的投資方案有更大的標準差,但它的風險并不比投資方案小的風險大,用變異系數來測定相對風險的大小可以彌補標準差的不足。因此,標準差是用來測度比較“絕對風險”的,變異系數是用來測度比較“相對風險”的。
變異系數的計算公式為:
上式中,v為變異系數。
變異系數越大,方案的風險也越大;反之,方案的風險越小。
房地產投資風險評價
(考試中容易出單選和多選題)
(1)投資項目的財務內部收益率大于等于基準收益率的累計概率值越大,風險越小;標準差越小,風險越小;變異系數越小,風險越小。
(2)投資項目的財務凈現值大于等于零的累計概率值越大,風險越小;標準差越小,風險越小;變異系數越小,風險越小。
最新資訊
- 2020年初中級經濟師《經濟基礎》章節考點匯總2019-11-15
- 2019年初中級經濟師《工商管理》考點匯總2019-10-17
- 2019年初中級經濟師《金融經濟》考點匯總2019-10-15
- 2019年初中級經濟師《建筑經濟》考點匯總2019-10-15
- 2019年初中級經濟師《財政稅收專業》考點匯總(10月12日更新)2019-10-12
- 2019年初中級經濟師《經濟基礎》考點匯總2019-10-10
- 2019年經濟師考試這12個公式必備!2019-09-10
- 2019年全國經濟師考試教材正式出版!2019-07-09
- 2019年經濟師考試備考必背公式集合匯總2019-04-25
- 2019年經濟師考試備考必背公式集合三2019-04-25