2013年經濟師考試《中級商業》預習:配送合理化
查看匯總:2013年經濟師考試《中級商業》預習匯總
第六章 物流管理
6.2 物流標準化及物流信息技術
六、配送合理化
(一)配送的概念和作用
1.概念:配送是指在經濟合理區域范圍內,根據客戶要求,對物品進行揀選、加工、包裝、分割、組配等作業,并按時送達指定地點的物流活動。
2.配送的作用
(1)從供方的角度看,主要有:物流成本得以控制;實現庫存集約化;提高顧客服務水平促進銷售;有利于把握市場信息;有利于實現商物分離。
(2)從需方的角度看,主要有:降低進貨成本;改善庫存水平,使零庫存成為可能;減少采購、驗收和入庫費用;減少交易次數、降低物流整體成本;提供流通加工服務、促進銷售;促進信息溝通。
(二)配送服務的種類
1.配送商品種類及數量不同的配送
(1)單(少)品種大批量配送。適用于企業需要量較大的商品,如A類商品。
(2)多品種、少批量配送。適用于企業的B、C類商品的運輸。
(3)配套成套配送。適用于配套成套服務需要,與多品種、少批量配送效果基本相同。
2.配送時間及數量不同的配送
(1)定時配送
(2)定量配送
(3)定時定量配送
(4)定時、定路線配送
(5)即時配送
3.組織者不同的配送
(1)自營配送
(2)外包配送
(3)共同配送
(三)配送合理化的措施
1.合理規劃配送中心
2.開展共同配送
(1)共同配送的優點:①從貨主的角度看,共同配送能在提高物流效率(減少運費,減少物流人力成本)的同時,利于少量、多頻度、小單位配送業務的推廣。②從汽車運輸業者的角度看,實行共同配送可以提高企業資金利用率、促進輸送單位大型化和信息網絡化的發展,也是車輛融通以及裝載效率提高成為可能,而且通過共同配送擴大了多頻度、小單位配送這樣的顧客服務的范圍,提高了企業的客戶服務水平。③從社會的角度看,共同配送排除了交錯運輸,減少了在途車輛,可以有效緩和交通以及防治環境污染等。
(2)共同配送的組織形式
1)同產業間的橫向共同配送
2)異產業間的橫向共同配送
3)縱向共同配送
3.科學制定配送計劃
配送七要素:商品、客戶、車輛、人員、路線、地點和時間。
4.優化配送路線
(1)確定配送線路規劃的目標。
(2)配送路線選擇的制約條件:滿足所有收貨人對商品品種、規格和數量的要求;滿足收貨人對商品送達時間范圍的要求;在允許通行的時間段內進行配送;各配送路線的商品量不得超過車輛容積和載重量的限制;在配送中心現有運力允許的范圍內配送。
5.提高配送車輛車載率
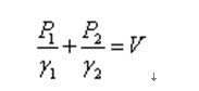
采用輕重商品配裝法,充分利用車輛的容積和載重量,是降低配送成本的重要手段之一。
同一車內輕重商品的配裝量可通過以下公式計算:
P1+P2=P

式中 P――車輛標記載重量(噸);
P1――重體商品裝載量(噸);
P2――輕體商品裝載量(噸);
V ――車輛全部有效容積(立方米);
γ1――重體商品比重(噸/立方米);
γ2――輕體商品比重(噸/立方米)。
最新資訊
- 2020年初中級經濟師《經濟基礎》章節考點匯總2019-11-15
- 2019年初中級經濟師《工商管理》考點匯總2019-10-17
- 2019年初中級經濟師《金融經濟》考點匯總2019-10-15
- 2019年初中級經濟師《建筑經濟》考點匯總2019-10-15
- 2019年初中級經濟師《財政稅收專業》考點匯總(10月12日更新)2019-10-12
- 2019年初中級經濟師《經濟基礎》考點匯總2019-10-10
- 2019年經濟師考試這12個公式必備!2019-09-10
- 2019年全國經濟師考試教材正式出版!2019-07-09
- 2019年經濟師考試備考必背公式集合匯總2019-04-25
- 2019年經濟師考試備考必背公式集合三2019-04-25