2013年經濟師《中級經濟基礎》預習:消費、儲蓄和投資(3)
更新時間:2012-11-12 13:47:37
來源:|0
瀏覽
收藏
摘要 2013年經濟師備考已拉開序幕,請考生關注環球網校經濟師考試復習資料,安排好復習內容,祝您考試成功!
第一部分 經濟學
第六章 國民收入核算和簡單的宏觀經濟模型
三.消費、儲蓄和投資
(三)投資函數
投資時形成固定資產的活動,一般不包括金融投資在內。
決定投資的因素有很多,主要因素有實際利率、預期收益率和投資風險等。預期的通過或膨脹率和折舊也在一定程度上影響投資。
凱恩斯認為,實際利率越低,投資量越大。因此,投資是利率的減函數。
投資函數:I=I(r)=e-dr
e表示自主投資,-dr表示引致投資。
(四)投資乘數
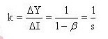
投資乘數=國民收入增量/投資增量
投資乘數的公式:
s為邊際儲蓄傾向。上式表明投資乘數k為邊際儲蓄傾向s的倒數。
例題:
1.某國的邊際消費傾向為0.6,則其投資乘數k為( )。
A.1.67 B.2.5 C.4 D.5
『正確答案』B
2.(2009年)假定邊際消費傾向β是0.75,則投資乘數k應為( )。
A.1 B.2 C.3 D.4
『正確答案』D。投資乘數k=1/(1-β)=1/(1-0.75)=4。
編輯推薦
最新資訊
- 2020年初中級經濟師《經濟基礎》章節考點匯總2019-11-15
- 2019年初中級經濟師《工商管理》考點匯總2019-10-17
- 2019年初中級經濟師《金融經濟》考點匯總2019-10-15
- 2019年初中級經濟師《建筑經濟》考點匯總2019-10-15
- 2019年初中級經濟師《財政稅收專業》考點匯總(10月12日更新)2019-10-12
- 2019年初中級經濟師《經濟基礎》考點匯總2019-10-10
- 2019年經濟師考試這12個公式必備!2019-09-10
- 2019年全國經濟師考試教材正式出版!2019-07-09
- 2019年經濟師考試備考必背公式集合匯總2019-04-25
- 2019年經濟師考試備考必背公式集合三2019-04-25