2010《審計相關專業知識》:財務管理基礎(7)
更新時間:2010-07-13 11:08:38
來源:|0
瀏覽
收藏
計算步驟:
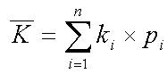
1.計算期望報酬率
期望報酬率是投資的各種可能報酬率按其概率進行加權平均計算得到的報酬率。
公式
期望報酬率只能反映投資報酬率幾種趨勢的一種量度。
2.計算標準離差
公式:
結論:在期望值相同時,標準離差越小,風險越小。
3.計算標準離差率
公式
結論:期望值不同時,標準離差率越大,風險越大。
4.確定風險報酬系數、計算風險報酬率和投資報酬率
投資報酬率=無風險報酬率+風險報酬率
其中:風險報酬率=風險報酬系數×標準離差率0
即:K= 結論:風險越大,風險報酬率也越高,投資人要求的必要報酬率也越高。
2010年審計師考試輔導招生簡章 轉自環球網校edu24ol.com
最新資訊
- 2020年初中級審計師考試大綱匯總(4月30日更新)2020-04-30
- 2019年審計師教材變化匯總(6.27更新完畢)2019-06-27
- 審計師行業動態:邢臺市審計局按需施教加強審計干部培訓2019-04-24
- 2019年審計師考試四個階段通關攻略2019-02-28
- 2018年審計師《企業財務管理》精選筆記財管目標和職能2018-01-24
- 2018年審計師《企業財務管理》精選筆記財管含義和內容2018-01-24
- 2018年審計師《企業財務管理》精選筆記利潤管理2018-01-24
- 2018年審計師《企業財務管理》精選筆記非股份制企業利潤分配2018-01-24
- 2018年審計師《企業財務管理》精選筆記股份制企業利潤分配2018-01-24
- 2018年審計師《企業財務管理》精選筆記利潤及其分配管理2018-01-24

