2009年咨詢工程師考試《工程項目組織與管理》真題及答案
一、單項選擇題(共60題,每題1分。每題的備選項中,只有1個最符合題意)
1.由于工程項目具有( )的特點,其建設會受到項目所在地氣候、地質等條件的約束。
A.整體性
B.固定性
C.目標的明確性
D.周期性
2.在一般工程項目建設周期中,人力和費用投入過程的趨勢變化是( )。
A.開始慢-中間快-臨近結束時漫
B.開始快-中間慢-臨近結束時慢
C.開始快-中間快-臨近結束時慢
D.開始慢-中間慢-臨近結束時快
3.在一般工程項目建設周期中,項目管理難度最大的是( )階段。
A.策劃和決策
B.實施
C.竣工驗收
D.準備
4.項目管理知識體系(PMBOK)中,項目管理的四個核心領域是指( )。
A.時間、質量、成本、風險
B.質量、成本、采購、時間
C.時間、質量、成本、范圍
D.采購、質量、時間、范圍
5.在工程項目目標系統的建立過程中,進行工程項目環境分析是( )階段的重要內容。
A.工程項目構思
B.識別需求
C.工作結構分解
D.提出項目目標
6.明確實現目標的具體操作過程,是工程項目過程控制基本程序中( )階段的工作。
A.實施
B.檢查
C.處理
D.計劃
7.在工程設計過程中最有可能對項目的"可施工性"考慮不夠,不利于總投資控制的項目管理模式是( )。
A.項目管理承包模式(PMC)
B.設計一采購一施工模式(EPC)
C.設計一招投標一建造模式(DBB)
D.建筑工程管理模式(CM)
8.項目管理承包模式(PMC)是一種( )模式。
A.由專業化機構進行項目管理
B.公共設施及服務私營化
C.工程項目總承包
D.傳統項目管理
9.BOT是一種( )的項目融資方式。
A.必須追索
B.無限追索
C.無需追索
D.有限追索
10.某特大型國有企業集團投資建設《政府核準的投資項目目錄》內的項目,應( )。
A.按項目單獨申報項目建議書
B.按項目單獨申報可行性研究報告
C.編制年度發展建設計劃并經批準后辦理核準手續
D.編制中長期發展建設規劃并經批準后辦理備案手續
11.商業銀行對貸款項目管理的主要目的是保證資金的( )。
A.安全性、流動性、效益性
B.安全性、多樣性、流動性
C.多樣性、流動性、效益性
D.政策性、安全性、效益性
12.對企業使用政府補助、轉貸和貸款貼息投資建設的項目,政府只審批( )。
A.可行性研究報告
B.項目建議書
C.資金申請報告
D.項目初步設詳概算
13.國家發展改革委關于實行核準制的《項目申請報告通用文本》中,"經濟影響分析"包括( )內容。
A.金屬礦資源分析
B.產業空間布局分析
C.非金屬礦資源分析
D.使用水資源分析
14.未列入《國家環境保護總局審批環境影響評價的建設項目目錄》中的農藥項目,其環境影響評價文件不能由( )環境保護行政主管部門審批。
A.國家級
B.省級
C.地市級
D.縣級
15.在工程實施階段,已完工程的保護工作是( )的任務。
A.工程所在地公安部門
B.工程承包商
C.工程所在地建設主管部門
D.業主單位
16.實行備案制的建設項目,建設單位應( )完成環境影響評價報批手續。
A.在辦理備案手續前
B.在辦理備案手續后10日內
C.與辦理備案手續同步
D.在辦理備案手續后且項目開工前
17.某企業總資產為2 000 萬元,其中流動資產500萬元,存貨100萬元,負債200萬元,流動負債50萬元,則其流動比率為( )。
A. 10.0 B.4.5
C.2.5 D.0.1
18.在工程項目績效報告的內容中,說明工程項目組織在某一特定期間完成的工作的是( )。
A.狀態報告 B.進展報告
C.項目預測 D.變更申請
19.一般情況下,成功的項目管理人員應優先與( )進行溝通。
A.提供貸款者和社會公眾 B.政府部門和設備供應商
C.周邊居民和環保部門 D.管理層和客戶
20.咨詢工程師批準工作范圍變更的原則不包括( ).
A.變更工作在技術上可行 B.變更后的項目可以降低使用標準
C.變更工作對總工期影響不大 D.業主同意支付變更費用
21.咨詢工程師簽發的變更令附件中,一般不包括變更工作的( )。
A.設計資料 B.施工組織設計
C.工程量表 D.變更原因
22.下列關于職能劃分法的表述中,錯誤的是職能劃分法( )。
A.有利于提高組織的專業化程度
B.不利于項目運作人員的培養
C.有利于提高管理人員的技術水平
D.有利于節約資金
23.在工程項目的組織設計中,首先強調組織整體設計目標的實現,然后進行分工,設立相應的組織單元,最后進行綜合協調,這主要體現了組織設計的( )。
A.最佳幅度與層次原則
B.目標導向原則
C.整分合原則
D."封閉"設計原則
24.可以同時規定項目團隊成員角色、職責與任務范圍的管理工具是( )。
A.關鍵線路法
B.責任分配矩陣
C.組織結構圖
D.工作分解結構
25.矩陣式組織結構的缺點不包括( )。
A.項目管理權力平衡困難
B.項目成員處于多頭領導之下
C.信息回路復雜
D.團隊工作目標不明確
26.某項目團隊,全職人員所占比例為20%,且有專職的項目經理,則該項目的組織模式是( )。
A.項目式
B.平衡矩陣式
C.強矩陣式
D.弱矩陣式
27.團隊的工作開始進入有序化狀態,培養了初步的團隊精神,此時的團隊處于( )。
A.規范階段
B.表現階段
C.形成階段
D.磨合階段
28.評標時按事先公布的標準對所存投標文件進行評審,這主要體現了招標投標的( )原則。
A.公開
B.公正
C.公平
D.誠實信用
29.凡應報送項目審批部門審批的工程項目,其招標組織形式應列入項目的( )中進行報批。
A.招標方案
B.可行性研究報告
C.招標文件
D.資金申請報告
30.下列項目中,屬于《工程建設項巨招標范圍和規模標準規定》中規定的關系社會公共利益和公眾安全的公用事業項目是( )。
A.輕軌交通項目
B.信息網絡項目
C.污水排放項目
D.商品住宅項日
31.某燃氣項目招標人自行招標應具備的條件中不包括( )。
A.招標人有項目法人資格
B.招標人有從事同類工程招標的經驗
C.招標人至少有2名工程師或經濟師
D.招標人至少有1名在本單位注冊的造價工程師
32.下列關于招標項目各項工作期限的表述中,正確的是( )。
A.資格預審文件出售至停止出售時間,最短不少于5天
B.投標保證金有效期應超出投標有效期28天
C.自招標文件出售至停止出售的時間,最短不少于5個工作日
D.招標人自行招標應在發出招標公告5個工作目前向有關行政監督部門備案
33.下列投標文件中,由評標委員會初審后按廢標處理的是( )。
A.逾期送達的投標文件
B.未按要求密封的投標文件
C.未按要求提供擔保的投標文件
D.附有招標人不能接受的條件的投標文件
34.招標采購的貨物必須符合設計文件和合同文件對貨物技術性能的要求,這體現了貨物招標應遵循的( )原則。
A.經濟保證
B.質量保證
C.安全保證
D.進度保證
35.按FIDIC合同條件,合同爭端裁決委員會作出裁決后( )內任何一方未提出異議,此裁決即為最終決定。
A.14天
B.28天
C.56天
D.84天
36.下列關于FIDIC指定分包商的表述中,正確的是( )。
A.指定分包商可由工程師選定
B.指定分包商應與業主簽訂合同
C.指定分包商不能提供工程技術服務
D.承包商不負責協調指定分包商的工作
37.施工合同文件主要包括:①協議書,②投標書,③中標通知書,④合同通用條款,⑤合同專用條款,⑥工程量清單。當合同文件出現不一致時,正確的解釋順序為( )。
A.①一②一③一④一⑤一⑥
B.①一②一③一⑤一④一⑥
C.①一③一②一⑤一④一⑥
D.①一⑤一④一③一②一⑥
38.《建設工程施工合同(示范文本)》通用條款規定的承包人的義務是( )。
A.辦理工程征地拆遷手續
B.辦理工程質量監督手續
C.辦理安全生產管理手續
D.辦理竣工驗收備案手續
39.經工程師確認可以順延工期的情形不包括( )。
A.發包人不能按約提供開工條件
B.因承包人原因造成工程量增加
C.不可抗力出現導致不能開工
D.因設計變更導致工程量增加
40.發包人在收到竣工結算報告及資料( )后仍不支付結算價款,承包人可以申請人民法院將該工程依法拍賣。
A.7天
B.14天
C.28天
D.56天
41.貨物采購合同履行過程中,催交工作的重點是保證貨物生產的( )。
A.安全
B.質量
C.進度
D.價格
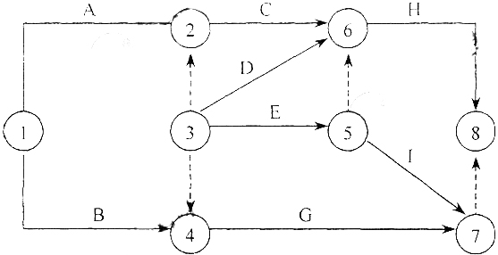
42.某工程項目分部工程雙代號網絡計劃如下圖,其關鍵線路為( )。

A.①—②—④—⑦ B.①—②—③—⑥—⑦
C.①—②—③—⑤—⑦ D.①—③—⑥—⑦
43.某分部工程雙代號時標網絡計劃如下圖所示,則工作B的總時差和自由時差分別是( )。

A.0天,0天
B.2天,0天
C.2天,2天
D.4天,0天
44.下列關于雙代號時標網絡計劃的表述中,正確的是( )。
A.雙代號時標網絡計劃只能表示工作的開始和完成時間
B.虛箭線只能垂直畫是因為虛工作的持續時間為零
C.時標網絡計劃宜按各項工作的最晚開始時間編制
D.雙代號時標網絡計劃必須以天為時標單位
45.利用"香蕉"曲線比較法可進行的工作不包括( )。
A.合理安排進度計劃
B.對后續工程進度進行預測
C.確定應采取的糾偏措施
D.比較實際進度與計劃進度
46.編制工程項目( )時,應將總費用根據工作分解結構分配至各工作單元。
A.費用估算
B.資源消耗計劃
C.費用計劃
D.費用控制計劃
47.下列費用中,屬于建筑安裝工程措施費的是( )。
A.文明施工費
B.工程排污費
C.養老保險費
D.企業管理費
48.進行工程項目費用管理的首要任務是( )。
A.進行費用控制
B.編制資源消耗計劃
C.編制費用估算
D.編制費用計劃
49.安裝預算單價及擴大綜合單價不全時,編制設備安裝工程概算可采用( )。
A.概算指標法
B.實物法
C.估算指標法
D.費用分解法
50.采用實物法編制施工圖預算的工作主要包括:①準備資料熟悉施工圖紙,②計算人工材料機械消耗量,③計算工程量,④計算其他費用,⑤計算人工材料機械費,⑥復核。其正確的順序是( )。
A.①一②一③一④一⑤一⑥
B.①一③一②一④一⑤一⑥
C.①一③一②一⑤一④一⑥
D.①一②一③一⑤一④一⑥
51.某工程施工到2009年3月31日時,得到如下數據:計劃工作預算費用為5800萬元,己完工作預算費用為6000萬元,已完工作實際費用為6200萬元。則該工程此時的費用績效指數為( )。
A.0.94
B.0.97
C.1.03
D. 1.07
52.某工程施上到2009年3月31曰時,得到如下數據:計劃工作預算費用為2800萬元,己完工作預算費用為3400萬元,已完工作實際費用為3000萬元。則該工程此時的進度偏差為( )萬元。
A.-200
B.209
C.400
D.600
53.工程項目業主單位的質量管理責任不包括( )。
A.對工程項目的質量管理負總責
B.提供真實齊全的工程原始資料
C.不得違反工程建設強制性標準
D.負責提出最優建設方案
54.設立工程咨詢成果評價標準的基本原則不包括( )。
A.堅持"客觀、公正、科學、可靠"的原則
B.必須采用定量方法對工作進行考核
C.真實、全面地反映項目的有利和不利因素
D.評價結論并非全部可行才能被評優秀成果
55.咨詢工程師在施工準備階段的質量管理工作包括( )。
A.對關鍵質量點跟蹤監控
B.監控進場的設備
C.對計量結果評價和確認
D.控制材料配合比
56.屬于經濟風險的典型風險事件是( )。
A.設計缺陷
B.經濟制裁
C.市場動蕩
D.地質災害
57.風險識別工作不包括( )。
A.確定風險來源
B.制定風險對策
C.描述風險特征
D.確定風險條件
58.定量風險分析使用的技術一般不包括( )。
A.概率和影響矩陣
B.建模和模擬
C.預期貨幣價值分析
D.靈敏度分析
59.開展健康、安全、環保(HSE)工作的核心主體是( )。
A.項目經理
B.專職HSE管理人員
C.基層作業組長
D.有經驗的兼職人員
60.工程項目實施階段的健康、安全、環保(HSE)工作包括( )。
A.進行項目環境影響評價
B.制訂HSE風險對策
C.進行項目設計變更控制
D.建立HSE現場檢查制度
二、多項選擇題(共35題,每題2分。每題的備選項中,有2個或2個以上符合題意,至少有1個錯項。錯選,本題不得分;少選,所選的每個選項得0.5分)
61.國際項目管理資質標準(ICB3)要求國際項目管理人員必須具備的專業知識和技能主要包括( )。
A.群體態度
B.組織能力
C.采購管理
D.基本項目管理知識
E.社會能力
62.項目管理知識體系(PRINCE2)涉及了8類管理要素,包括( )等。
A.項目啟動
B.計劃
C.風險管理
D.組織
E.項目交付
63.對于采用直接投資和資本金注入方式的政府投資項目,從投資決策角度政府只審批( )。
A.項目建議書
B.可行性研究報告
C.資金申請報告
D.施工圖與預算
E.項目開工報告
64.國家發展改革委發布的《項目申請報告通用文本》中,"社會影響分析"包括( )。
A.社會資源優化配置分析
B.與當地社會環境的適應性
C.社會影響和社會效益分析
D.協調項目與當地社會關系
E.規避社會風險
65.商業銀行對工程項目貸款的貸前管理內容包括( )。
A.對借款人進行信用評價
B.制定貸款的法律文件
C.對借款人進行財務評價
D.對貸款項目進行評估
E.發布貸款風險預警
66.選擇和確定項目管理模式,應考慮的主要因素有( )。
A.建設項目的目標
B.業主本身的人力資源情況
C.承包商的能力與信譽
D.咨詢服務機構的能力與信譽
E.上級主管單位的意愿
67.為了實現有效溝通,項目管理各方在溝通時應( )。
A.注意溝通方式
B.改進溝通技巧
C.明確溝通的目標
D.考慮溝通環境
E.事先多方征求對溝通內容的意見
68.建立工作分解結構時首先要識別項目的組成部分,主要考慮的是( )。
A.各工作單元大小要均衡
B.可作為獨立的交付成果
C.標段間利潤相差不大
D.便于項目實施管理
E.上級主管部門的要求
69.工程項目組織管理中常用的部門劃分方法有( )。
A.程序劃分法
B.規模劃分法
C.職能劃分法
D.區域劃分法
E.序列劃分法
70.下列關于工程項目管理組織中部門劃分方法的表述中,正確的有( )。
A.部門劃分方法可用于單一的項目管理
B.部門劃分方法可用于多項目管理
C.對一個管理單位只能使用一種劃分方法
D.常用的部門劃分方法中包括人數劃分法
E.業務劃分法是常用的部門劃分法之一
71.職能式組織結構的優點有( )。
A.團隊成員可以得到本部門其他專業人員的技術支持
B.有利于公司項目發展與管理的連續性
C.團隊成員的工作目標較為單一
D.組織方式不受原有模式的限制
E.有利子來自不同職能部門的團隊成員之間的交流
72.工程項目管理組織的建立過程中,處于組織結構設計和制定考核標準之間的步驟包括( )。
A.人員配置
B.確定工作崗位與職責
C.明確工作流程與信息流程
D.確定合理的項目目標
E.確定項目工作內容
73.有專職的項目經理,且全職人員在項目團隊中的比例占50%~60%的項目組織模式有( )。
A.項目式
B.平衡矩陣式
C.強矩陣式
D.弱矩陣式
E.職能式
74.項目經理在建立工作基礎階段的工作包括( )。
A.編制項目工作計劃
B.分析項目相關人員
C.組織制訂具體實施計劃
D.了解項目情況
E.研究工作任務
75.進行項目工作分解的主要方法有( )。
A.按資金來源分解法
B.按專業要素分解法
C.按人員籍貫分解法
D.按工作內容分解法
E.按工作過程分解法
76.項目經理在項目實施中的指導工作包括( )。
A.落實人員分工
B.進行方法指導
C.培養團隊精神
D.對成員提出具體要求
E.解決團隊中的困難和問題
77.工程項目人力資源配備計劃的內容包括( )。
A.人員報酬需求
B.人員參加項目工作時間
C.人員需求數量與種類
D.人員的獎懲
E.人員離開項目工作的時間
78.下列關于工程項目評標的表述中,正確的有( )。
A.細微偏差不影響投標文件的有效性
B.評標工作可由招標人或代理機構獨自承擔
C.招標文件沒有規定的標準也可作為評標依據
D.以他人名義投標的,由評標委員會初審后按廢標處理
E.評標分為初步評審和詳細評審兩個階段進行
79.使用國有資金投資的貨物招標項巨,招標人可以確定排名第二的中標候選人為中標人的情形有( )。
A.排名第一的中標候選人自動放棄中標
B.排名第二的中標候選人提出價格優惠措施
C,排名第二的中標候選人具有特定技術專利
D.排名第一的中標候選人提出不能履行合同
E.排名第一的中標候選人未按規定提交履約擔保
80.下列關于工程項目合同特點的表述中,正確的有( )。
A.合同龐大復雜
B.訂立合同必須采用有關部門頒發的合同示范文本
C.合同主體是法人或自然人
D.工程項目合同是一個合同群體
E.合同的標的物僅限于項目涉及的內容
81.根據FIDIC合同條件,下列關于業主提供支付保函的表述中,正確的有( )。
A.支付保函為附條件擔保
B.業主必須向承包商提供支付保函
C.擔保期限至缺陷通知期滿后3個月
D.支付保函的作用是使業主保證履行付款義務
E.擔保金額可以按分項合同價款的百分比計算
82.設備現場監造工作中咨詢工程師的主要工作包括( )。
A.聘請有資格的檢驗機構承擔檢驗工作
B.根據設備采購合同制訂監造檢驗計劃
C.設備制造開始后組織召開制造廠協調會議
D.設備制造完畢后做好出廠前檢驗測試
E.了解制造廠質量保證體系文件實施情況
83.《建設工程施工合同(示范文本)》的通用條款中包括( )等內容。
A.工程概況
B.合同價款支付
C.工程承包范圍
D.材料設備供應
E.施工組織設計
84.某分部工程雙代號網絡圖如下所示,圖中存在的錯誤有( )。

A.有多個起點節點
B.有多個終點節點
C.節點編號有誤
D.存在循環回路
E.有多余虛工作
85.某工作的實際進度發生偏差,判定該工作是否會對后續工作和總工期產生影響的依據有( )。
A.該工作是否處于關鍵線路
B.該工程的實際投資是否很大
C.工程資源是否均衡
D.進度偏差是否超過該工作的總時差
E.進度偏差是否超過該工作的自由時差
86.下列費用中,屬于建筑安裝工程間接費中規費的有( )。
A.勞動保險費
B.環境保護費
C.醫療保險費
D.臨時設施費
E.住房公積金
87.下列關于工程項目資源需求分析的表述中,正確的有( )。
A.工程施工階段對人力資源的需求非常多
B.工程項目竣工階段對資源的需求非常多
C.工程項目設計階段需要多專業工程師參與工作
D.工程項目實施階段對材料、設備的需求大
E.編制資源消耗計劃首先要確定需要的資源種類、數量及使用時間
88.下列產生工程項目費用偏差的原因中,屬于業主原因的有( )。
A.建設手續不全
B.設備漲價
C.場地提供不及時
D.政策發生變化
E.增加建設內容
89.《工程咨詢成果質量評價辦法》規定,進行工業項目可行性研究報告的質量評價,應評價( )等方面。
A.風險分析
B.多方案比選
C.社會需求
D.市場調查分析
E.貫徹宏觀政策分析
90.下列關于工程設計階段質量管理的表述中,正確的有( )。
A.設計階段要處理好投資、質量和進度的關系
B.在投資、質量和進度的關系中,投資是最重要的
C.設計階段的投資控制,要追求投資的最小化
D.設計階段的質量控制,要追求質量的優良化
E.設計階段的進度控制,要使設計進度不影響總進度
91.下列關于項目目標的風險影響等級的表述中,正確的有( )。
A.當風險對項目的影響為0.1級時,成本增加不明顯
B.當風險對項目的影響為0.2級時,進度拖延小于5%
C.當風險對項目的影響為0.4級時,進度拖延10%~20%
D.當風險對項目的影響為0.8級時,成本增加大于40%
E.當風險對項目的影響為0.05級時,只有少數工作受到影響
92.風險分解結構中,屬于外部風險的有( )。
A.資金
B.溝通
C.計劃
D.市場
E.客戶
93.制訂風險應對計劃的主要工作有( )。
A.編制風險管理體系文件
B.選擇應對措施并形成一致意見
C.進行靈敏度分析
D.明確風險管理人和分配相應責任
E.實施應對策略采取的具體行動
94.如果把工程項目健康、安全、環保(HSE)管理體系比喻成螺旋槳,則屬于螺旋槳葉輪片的要素有( )。
A.組織機構
B.持續改進
C.領導和承諾
D.資源和文件
E.方針和戰略目標
95.下列工作內容中,屬于工程項目健康、安全、環保(HSE)管理體系實市和運行二級要素的有( )。
A.績效測量和監控
B.應急準備和響應
C.文件和資料控制
D.HSE管理評審
E.危險源辨識
2009年咨詢工程師考試《工程項目組織與管理》答案

更多內容訪問>> 咨詢工程師考試頻道 咨詢工程師考試交流論壇 咨詢工程師課程免費試聽 ·新春優惠,報咨詢工程師全科或兩科套餐,贈在線模考題!
·關于2010年咨詢工程師(投資)考試考務工作的通知
·2010年注冊咨詢工程師(投資)考前網上輔導招生簡章
·環球網校2009年咨詢工程師(投資)考試輔導通過率
最新資訊
- 2025年咨詢工程師實務真題及答案2025-09-02
- 2025年咨詢工程師考試題及答案2025-05-06
- 2025年咨詢工程師真題,可估分對答案!2025-05-06
- 2025年注冊咨詢工程師考試真題及答案2025-04-30
- 2025年咨詢工程師真題及答案2025-04-30
- 2025年注冊咨詢工程師真題詳解2025-04-30
- 【考生關注】2025年全國咨詢工程師真題答案解析發布2025-04-29
- 2025年咨詢工程師真題資料免費下載,含答案解析2025-04-29
- 2025年咨詢工程師證考試真題及答案解析2025-04-29
- 2025咨詢工程師真題及解析2025-04-29