2008年統計師《統計業務知識》真題及答案
一、單項選擇題(以下每小題各有四項備選答案,其中只有一項是正確的。本題共40分,每小題1分。)
1.下列單位中屬于我國常住單位的是( )。
A.我國在國外投資的企業 B.我國駐外援助機構
C.外國駐華使領館 D.短期來我國訪問、旅游的人員
2.以下關于機構單位、法人單位和產業活動單位之間關系的表述中,不正確的是( )。
A.機構單位是法人單位的一部分
B.一個機構單位可以包括一個或多個產業活動單位
C.一個產業活動單位一定隸屬于一個法人單位
D.產業活動單位相當于基層單位
3.下列各項中仍未被列入現行國民經濟生產統計范圍的是( )。
A.有償家政服務 B.住房服務
C.家務勞動 D.自用性貨物生產
4.2006年北京市勞動者報酬為3497億元,生產稅凈額為1161億元,固定資產折舊為1251億元,營業盈余為1961億元,合計為7870億元,這是根據( )計算的地區生產總值。
A.生產法 B.收入法
C.支出法 D.直接計算法
5.投入產出表中有一些基本的總量平衡關系,下列平衡關系中不正確的是( )。
A.中間投入+增加值=總投入
B.中間使用+最終使用=總產出
C.總投入=總產出
D.某部門的增加值=該部門提供的最終使用的價值
6.在收入分配統計中,下列各項屬于初次分配項目的是( )。
A.所得稅 B.社會保險付款
C.社會補助 D.紅利
7.在國民收入分配分析指標中,國民儲蓄率是指國民總儲蓄與( )之比。
A.國內生產總值 B.國民總收入
C.國民可支配總收入 D.國民可支配凈收入
8.基尼系數為0時,表示收入分配( )。
A.絕對不平等 B.絕對平等
C.相對不平等 D.相對平等
9.某地區某年末流通中的現金余額為3.2億元,居民和企事業單位活期存款余額為3.5億元,城鄉居民儲蓄存款余額為4.5億元,定期存款和其他存款為5.5億元,則該地區這一年末的狹義貨幣供應量 余額與廣義貨幣供應量 余額之比為( )。
A.0.478 B.0.192
C.0.401 D.2.493
10.某市批發零售業2007年初商品庫存額為58 900萬元,全年商品購進總額為358 960萬元,商品銷售總額為385 670萬元。按此計算的商品周轉天數是( )。
A.43.10天 B.55.74天
C.30.46天 D.46.31天
2010年統計師考試輔導招生簡章 轉自環球網校edu24ol.com
11.以下對外經濟往來項目中,應在國際收支平衡表貸方反映的是( )。
A.服務的進口 B.對外金融資產的減少
C.對外提供無償援助 D.對外金融負債的減少
12.在《中國統計年鑒》中可以發現,國際收支平衡表中貨物出口與貨物進口的差額與海關統計中貨物出口與貨物進口的差額有所不同,造成這種差異的主要原因是( )。
A.在國際收支平衡表中,出口和進口都按離岸價計算;而在海關統計中,出口按離岸價計算,進口按到岸價計算
B.在國際收支平衡表中,出口和進口都按離岸價計算;而在海關統計中,出口按到岸價計算,進口按離岸價計算
C.在國際收支平衡表中,出口和進口都按到岸價計算;而在海關統計中,出口按離岸價計算,進口按到岸價計算
D.在國際收支平衡表中,出口和進口都按到岸價計算;而在海關統計中,出口按到岸價計算,進口按離岸價計算
13.下列各項中不屬于固定資產的是( )。
A.住房 B.切割機床
C.役畜 D.家用洗衣機
14.以下人均總量指標中,應當用年平均人數計算的是( )。
A.人均儲蓄存款余額 B.人均國民財產
C.人均純收入 D.人均耕地面積
15.統計分析強調定量分析與定性分析相結合是基于( )。
A.質是量的基礎,一定的量是質存在的必要條件
B.量是質的基礎,一定的量是質存在的必要條件
C.質是量的基礎,一定的質是量存在的必要條件
D.量是質的基礎,一定的質是量存在的必要條件
16.據統計,2007年全國共招收普通高等教育本專科生565.92萬人、研究生41.86萬人。這里學生的“學歷”(專科、本科、研究生)的計量尺度是( )。
A.列名水平 B.順序水平
C.間隔水平 D.比率水平
17.通貨膨脹率是調整利率水平需要參考的重要宏觀經濟指標之一。當通貨膨脹率超過5%時央行通常會加息。央行參照的這一評價標準是( )。
A.時間評價標準 B.空間評價標準
C.經驗或理論評價標準 D.計劃評價標準
18.洛倫茨曲線向下彎曲得越大,表明( )。
A.基尼系數越小,收入分配越公平 B.基尼系數越大,收入分配越公平
C.基尼系數越小,收入分配越不公平 D.基尼系數越大,收入分配越不公平
19.欲對某企業的資產負債率(62%)和產品銷售率(95%)進行標準化處理,兩項指標的算術平均數和標準差分別為:61%、3%和96%、2%。正確的處理結果是( )。
A.(62%-61%)÷3%,(95%-96%)÷2%
B.-(62%-61%)÷3%,(95%-96%)÷2%
C.(62%-61%)÷3%,-(95%-96%)÷2%
D.-(62%-61%)÷3%,-(95%-96%)÷2%
20.主成分分析能夠把多個指標簡化為少數幾個綜合指標,并能使這些綜合指標盡可能地反映原來的多個指標的信息,并保證這些綜合指標彼此之間( )。
A.互不相關 B.高度相關
C.低度相關 D.中度相關
2010年統計師考試輔導招生簡章 轉自環球網校edu24ol.com
21.施肥量與單位面積糧食產量之間是( )。
A.函數關系 B.確定性關系
C.模糊關系 D.相關關系
22.當簡單線性相關系數為0時,說明兩個變量之間( )。
A.沒有任何關系 B.不存在直線相關關系
C.不存在曲線相關關系 D.具有不確定的關系

25.張力撰寫了一篇題為“強化征收管理,確保稅收收入穩步增長”的統計分析報告。報告首先闡述了稅收收入的完成情況及其特點,其次分析了影響稅收收入的主要因素及稅收征管中面臨的突出問題,最后提出了強化征收管理,確保稅收收入穩步增長幾點政策建議。該報告的結構屬于( )。
A.遞進結構 B.并列結構
C.時序結構 D.時空結構
26.李斌撰寫了一篇題為“我國鋼鐵業發展研究和預測”的統計分析報告,報告僅就我國鋼材的銷售收入進行了分析和預測。此文標題存在的問題主要是( )。
A.缺乏新意 B.不夠精煉
C.標題過長 D.與內容不一致
27.計算機中最普遍采用的字符編碼是( )。
A.國標碼 B.二進制編碼
C.ASCⅡ碼 D.BCD碼
28.位是計算機存儲數據的最小單位,數據在計算機中均表現為二進制形式。如果需要表示1至26共26個不同的數字,最少需要( )位。
A.5 B.26
C.7 D.8
29.計算機存儲系統中的主存儲器存儲正在運行的程序和數據,主存儲器不包含( )。
A.高速緩沖存儲器 B.隨機存儲器
C.磁帶存儲器 D.只讀存儲器
30.統計數據處理系統軟件屬于( )。
A.系統軟件 B.應用軟件
C.計算機輔助設計軟件 D.通用辦公軟件
2010年統計師考試輔導招生簡章 轉自環球網校edu24ol.com
31.Windows XP中欲更改計算機名,可以進入系統菜單中的( )。
A.所有程序 B.控制面板
C.幫助和支持 D.運行
32.對于微機操作系統的升級,下面說法( )是不正確的。
A.升級的目的是修補漏洞及改進瑕疵
B.升級需要人工進行正確的初始設置
C.只要進行系統升級就能夠完全防止惡意攻擊
D.微機必須聯在網上才能進行升級
33.下面各種描述中,錯誤的是( )。
A.選擇中文輸入法之前應使編輯窗口處于活動窗口狀態
B.使用鍵盤時可按
C.按
D.語言指示器中列出了可選的輸入法名稱
34.根據計算機網絡的覆蓋面和距離長短,可將計算機網絡分成( )兩大類。
A.網際網與內部網 B.廣域網和局域網
C.公共傳輸網與局域網 D.Internet與Intranet
35.使用撥號連接方式接入國際互聯網時,( )是不需要的。
A.個人電腦 B.調制解調器
C.撥號連接帳戶 D.網卡
36.Word的基本功能不包括( )。
A.輸入文字以及對文字進行字體、大小、顏色等格式的設置
B.在文稿中插入表格、圖形等
C.將文稿保存至硬盤或其他存儲介質中
D.在雙方都聯網在線時可以實現實時的文字對話
37.Windows Word中,要對某段文字進行修飾,正確的做法是( )。
A.選中文字,點按【格式】→【字體】
B.指向文字,點按【編輯】→【定位】
C.選中文字,點按【插入】→【文本框】
D.拖動文字,點按【格式】→【段落】
38.欲選中Excel中不相鄰的區域(如B列與F列),( )的操作是正確的。
A.點擊B列的第一個單元格,按住鼠標左鍵拖至F列
B.選中B列,松手,按住“Shift”鍵的同時,再選擇F列
C.選中B列,松手,按住“Ctrl”鍵的同時,再選擇F列
D.點擊代表B列的坐標,再點擊代表F列的坐標
39.將Excel表格作為( )插入到Word文稿中后,如果Excel中的原始數據發生了改變,Word中的數據也會發生相應改變。
A.帶格式文本 B.工作表對象
C.HTML格式 D.文檔對象
40.統計信息編碼中的特征組合碼常用于( )。
A.對線分類體系進行編碼
B.對面分類體系進行編碼
C.將代碼分成若干層級并與分類對象的分類層級相對應
D.體現編碼的適應性
2010年統計師考試輔導招生簡章 轉自環球網校edu24ol.com
二、多項選擇題(以下每小題至少有兩項正確答案,每選對一項得0.5分,全部選對得滿分。多選或錯選不得分。本題共30分,每小題2分。)
41.在下列服務業中,采用在核算期內所投入的成本來計算總產出的行業是( )。
A.金融業 B.教育
C.文化、體育和娛樂業 D.租賃和商業服務業
E.公共管理和社會組織
42.在以下價值指標中,一般不能通過“數量×單價”的方法計算出來的是( )。
A.總產值 B.總增加值
C.出口 D.銷售額
E.貿易順差
43.關于固定資產的含義和計算原則,以下表述中正確的是( )。
A.在生產過程中使用具有耐用性的貨物
B.該貨物可以在生產中連續或反復被使用
C.該貨物的價值一次性轉移到產品價值中
D.在計算凈增值時,需要扣除固定資本消耗
E.在每一時期,按照該貨物磨損狀況所計算的轉移價值稱為折舊
44.在收入分配統計中,下列各項屬于再分配項目的是( )。
A.所得稅 B.土地租金
C.社會補助 D.捐贈
E.生產稅凈額
45.目前我國實際編制的以下價格指數中,采用單項物價指數加權算術平均法的是( )。
A.居民消費價格指數 B.固定資產投資價格指數
C.工業品出廠價格指數 D.國內生產總值物價指數
E.農產品生產價格指數
2010年統計師考試輔導招生簡章 轉自環球網校edu24ol.com
46.某人撰寫了一篇題為“教育資源配置不合理是造成我市小升初擇校熱和亂收費的根本原因”的統計分析報告,此報告( )。
A.是綜合分析 B.是專題分析
C.以分析目的為標題 D.以主要論點為標題
E.以主要結論為標題
47.建立統計分析指標體系應遵循的一般原則包括( )。
A.指標體系的設計要緊扣選題 B.注意指標體系的全面性和系統性
C.注意指標的敏感性與可行性 D.注意指標的一致性和方便性
E.講求簡潔有效
48.已知2007年末我國外匯儲備為15 282億美元,人民幣匯率為1美元兌7.3046元人民幣;2006年相應的數據為10 663億美元和7.8073元人民幣。下列說法正確的有( )。
A.外匯儲備比上年末增加4619億美元
B.外匯儲備比上年末增長(15 282-10 663)/15 282=30.23%
C.外匯儲備比上年末增長(15 282-10 663)/10663=43.32%
D.人民幣比上年末升值1-(7.3046/7.8073)=6.44%
E.人民幣比上年末升值(7.8073/7.3046)-1=6.88%

50.下列關于主成分分析的表述正確的有( )。
A.主成分分析的目的是尋找少數幾個主成分代表原來的多個指標
B.所確定的幾個主成分之間是高度相關的
C.所確定的幾個主成分之間是互不相關的
D.使用主成分分析方法的前提是原來的多個指標之間是相關的
E.各主成分是原來指標的線性函數
2010年統計師考試輔導招生簡章 轉自環球網校edu24ol.com
51.計算機病毒可能通過( )等介質或渠道傳播。
A.操作系統 B.應用程序
C.誤操作 D.內存
E.網絡
52.下列關于操作系統的描述,正確的有( )。
A.操作系統是計算機運行不可缺少的系統軟件
B.操作系統能夠管理和控制計算機系統軟、硬件
C.各種操作系統都能夠提供網絡通信和網絡資源共享功能
D.操作系統能夠管理和控制用戶的程序和數據
E.應用軟件的運行與操作系統的類型無關
53.可以對Windows XP的窗口執行( )等操作。
A.最大化窗口 B.移動窗口
C.同時打開多個窗口 D.復制窗口
E.刪除窗口
54.Windows XP中進行文檔打印時,用戶可以直接對打印隊列執行( )等操作。
A.查看打印隊列 B.增加打印作業
C.清除打印作業 D.調整打印順序
E.修改打印格式
55.統計數據的編輯審核是為達到數據凈化的質量要求而進行的重要工作,基本的審核方法包括( )等。
A.平衡校驗法 B.復錄比較校驗法
C.預編輯校驗法 D.邏輯校驗法
E.規則校對檢驗法
2010年統計師考試輔導招生簡章 轉自環球網校edu24ol.com
三、判斷題(本題共20分,每小題1分。)
56.在現行機構部門劃分中,中國人民銀行屬于政府部門。
57.當期生產的被用于最終消費、固定資本形成和出口的產品就是最終產品。
58.一般說來,住戶部門的儲蓄率總是小于企業部門的儲蓄率。
59.在銷售總額統計中,國內商品銷售按實際銷售價格計價,出口商品則按到岸價格計價。
60.國際上對外貿易統計有兩種記錄制度,我國海關統計采用的是專門貿易記錄制。
61.固定資產不包括居民擁有的耐用消費品和純軍事目的的耐用品。
62.一個地區水資源總量等于該地區的地表水資源量與地下水資源量之和。
63.文盲率是指一個國家或地區16歲以上文盲人數占其全部16歲以上人口數的百分比。
64.在分析兩個地區進出口貿易的結構時,可以采用柯爾莫哥洛夫-斯米爾諾夫檢驗或 檢驗,所不同的是前者要求資料的計量水平至少是順序水平且兩組數據各自獨立。
65.將一組數據經過標準化處理后,其平均值為1、方差為0。
66.在回歸模型中,隨機誤差項反映了自變量對因變量的影響。
67. ![]()
68.擴張長度是測定經濟現象循環波動的重要指標,其基本含義是指從周期的谷值時刻到峰值時刻所跨越的時間長度。
69.如果要縮小置信區間,在其他條件不變的情況下,必須提高置信水平。
70.位是計算機存儲數據的最小單位,但存儲器的容量大小卻以字節數來度量,通常使用千、兆字節表示。
71.Windows是一個多用戶多任務操作系統,可以建立多個用戶,提供網絡通訊、圖形界面、多媒體應用等各種功能,充分體現了其高效性的特點。
72.計算機中的各種程序和數據信息都是以一個或一組文件的形式存在,只有數據庫除外。
73.同一個字符的全角和半角方式,其顯示外形雖然相似,但其內碼并不相同。
74.網絡鄰居是網絡中最常見的網絡資源共享方式。無論網絡類型如何,網絡中的機器都可以把自己的硬盤以及存在它們之上的文件夾共享給網絡中的其他機器使用。
75.統計系統的數據多采用關系型數據庫的形式組織存儲。在設計關系型數據庫時,必須針對具體應用進行全面深入的考慮,以使其適應需要。
2010年統計師考試輔導招生簡章 轉自環球網校edu24ol.com
四、綜合應用題(以下每道綜合應用題包括5道小題,每道小題有一項或一項以上的正確答案,每選對其中的一項得0.5分,全部選對得滿分。多選或錯選不得分。本題共30分,每小題2分。)
(一)我國2002年三次產業投入產出簡表如下:
單位:億元

請根據以上資料進行計算和分析判斷,在下面備選中選出正確答案。
76.根據2002年我國投入產出簡表,2002年我國按收入法計算的現價GDP為( )億元。
A.121 859 B.121 254
C.148 199 D.120 651
77.根據2002年我國投入產出簡表,2002年我國按支出法計算的現價GDP為( )億元。
A.121 859 B.121 254C.148 199 D.120 651
78.根據2002年我國投入產出簡表,直接消耗系數矩陣為( )。

2010年統計師考試輔導招生簡章 轉自環球網校edu24ol.com
(二)下表是已公布的2006年我國國際收支平衡表簡表,請根據此表在下列備選答案中選出正確答案(2006年1美元對人民幣的中間價為7.9718)
2006年中國國際收支平衡表 單位:億美元

81.已知我國2006年國內生產總值為210 871.0億元,則根據上表計算的2006年國民生產總值(或國民總收入)為( )。
A.209 933.9 B.214 135.8
C.211 808.1 D.207 606.2
82.已知我國2006年最終消費支出為110 413.2,資本形成總額為94 103.2億元,則根據上表計算的2006年支出法國內生產總值為( )。
A.187 862.3 B.221 170.5
C.211 808.1 D.222 107.6
83.已知我國2006年國內生產總值為210 871.0億元,則根據上表計算的2006年國民可支配收入為( )。
A.211 808.1 B.213 198.7
C.209 480.4 D.214 135.8
84.表中資本和金融項目的數據表明,2006年資本交易和利用外資的情況是( )
A.沒有來自國外的資本交易收入
B.幾乎沒有向國外的資本交易支出
C.中國引進的外商直接投資大于中國對國外的直接投資
D.中國對外發行證券額小于中國購買國外證券額
85.2006年我國國際收支的綜合收支差額為( )
A.2470.25億美元 B.-2470.25億美元
C.0億美元 D.2599.03億美元
2010年統計師考試輔導招生簡章 轉自環球網校edu24ol.com
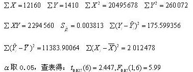
(三)某地區2000—2007年地區生產總值與稅收收入資料如下表所示:
單位:億元

根據上表資料求得:


請根據上述資料從下列備選答案中選出正確答案。(提示:考生可以根據本題給出的中間結果進行計算和分析,也可以根據Excel的輸出結果直接進行分析。)
86.要研究地區生產總值與稅收收入的統計依存關系,正確的分析步驟是( )。
A.定性分析地區生產總值與稅收收入是否存在相互聯系,如果確實存在相互聯系,則通過相關分析測定兩者相關的密切程度
B.通過回歸分析,研究地區生產總值與稅收收入之間具體的數量關系形式
C.通過統計檢驗,判斷上述分析中所得到的地區生產總值與稅收收入之間的關系是否具有普遍性
D.分析中地區生產總值與稅收收入之間的關系是否是因果關系



2010年統計師考試輔導招生簡章 轉自環球網校edu24ol.com
統計工作實務試卷標準答案
(滿分120分)
一、單項選擇題(以下每小題各有四項備選答案,其中只有一項是正確的。本題共40分,每小題1分。)
1.B 2.A 3.C 4.B 5.D
6.D 7.C 8.B 9.C 10.A
11.B 12.A 13.D 14.C 15.A
16.B 17.C 18.D 19.B 20.A
21.D 22.B 23.C 24.D 25.A
26.D 27.C 28.A 29.C 30.B
31.B 32.C 33.B 34.B 35.D
36.D 37.A 38.C 39.B 40.B
二、多項選擇題(以下每小題至少有兩項正確答案,每選對一項得0.5分,全部選對得滿分。多選或錯選不得分。本題共30分,每小題2分。)
41.BCE 42.BE 43.ABDE 44.ACD 45.ABCE
46.BE 47.ABCE 48.ACE 49.ACE 50.ACDE
51.ABE 52.ABD 53.ABC 54.ACD 55.AD
三、判斷題(本題共20分,每小題1分。)
56.× 57.× 58.√ 59.× 60.√
61.√ 62.× 63.× 64.√ 65.×
66.× 67.× 68.√ 69.× 70.√
71.× 72.× 73.√ 74.× 75.×
四、綜合應用題(以下每道綜合應用題包括5道小題,每道小題有一項或一項以上的正確答案,每選對其中的一項得0.5分,全部選對得滿分。多選或錯選不得分。本題共30分,每小題2分。)
76.A 77.B 78.A 79.C 80.D
81.C 82.B 83.D 84.BCD 85.D
86.ABCD 87.ABD 88.BC 89.AD 90.BD
2010年統計師考試輔導招生簡章 轉自環球網校edu24ol.com
最新資訊
- 2025年初級統計師考試真題及答案(統計學和統計法基礎知識+統計專業知識和實務)2025-10-22
- 2025年中級統計師真題及答案:10月19日上午場+下午場(2科目)2025-10-21
- 2025年初級統計師真題及答案:10月19日2科目匯總2025-10-21
- 2025年統計師真題下載:初、中級4科目2025-10-21
- 對答案!2025年中級統計師《統計基礎理論及相關知識》考試真題及答案【考生回憶版】2025-10-20
- 2025年中級統計師《統計工作實務》考試真題及答案公布【考生回憶版】2025-10-20
- 速來對答案!2025年中級統計師考試真題及答案10月19日上午場+下午場2025-10-20
- 2025年中級統計師真題及答案解析更新,pdf版免費下載2025-10-20
- 真題更新!2025年中級統計師真題及答案解析(2科目)2025-10-20
- 2025年初級統計師真題:初級兩科匯總(附答案解析)2025-10-20

