2013年注冊一級結構工程師基礎知識練習
更新時間:2013-07-02 13:33:46
來源:|0
瀏覽
收藏
結構工程師報名、考試、查分時間 免費短信提醒
摘要 2013年注冊一級結構工程師基礎知識練習
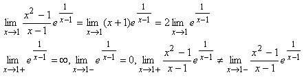
第1題
的值等于:
(A) 0
(B) 2
(C) ∞
(D) 不存在。
答案:D
解析:

,所以極限不存在,選D。
第2題

答案:(C)
解析:

第3題
設函數

,若定義f(0)=( )時,則f(x)在x=0處連續。
(A) e2;
(B) e;
(C)e-2;
(D)e-1/2。
答案:(C)
解析:

環球網校友情提示:如果您在此過程中遇到任何疑問,請登錄環球網校結構工程師考試論壇,隨時與廣大考生朋友們一起交流!
編輯推薦:
編輯推薦
上一篇:結構工程師面試模擬題及答案(二)
最新資訊
- 2025年二級結構工程師考試都是選擇題嗎?題型分布與備考策略全解析2025-10-30
- 2025年一級注冊結構工程師模擬題終極指南:高效備考沖刺全攻略2025-10-30
- 2025年二級結構工程師專業考試模擬題解析,免費下載!備考沖刺必備資料2025-10-29
- 注冊結構工程師模擬考試題2023-04-23
- 一級注冊結構工程師模擬題下載2023-04-21
- 一級注冊結構工程師模擬題2023-04-20
- 2022年一級注冊結構工程師試題2022-04-11
- 2021年注冊結構工程師考前復習練習題匯總(含模擬題、歷年真題)2021-09-28
- 2021年二級注冊結構工程師專業考試沖刺試題及答案(十)2021-09-16
- 2021年二級注冊結構工程師專業考試沖刺試題及答案(九)2021-09-15