一級基礎科目(二)輔導:慣性力例題
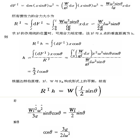
[例4―3―12] 均質細桿AB重W,長l,其一端A鉸接于勻速轉動鉛垂軸上,如圖4-3-36所示。設角速度為ω,求相對平衡時桿與鉛垂軸所成的角θ!

[解] 以桿AB為研究對象,桿上的作用力有w與RA。當桿隨著鉛垂軸一起勻速轉動時,其慣性力分布于桿上每一部分,組成平行力系如圖所示。今先求出慣性力系的合力的大小及其作用線的位置。
在桿上離開A點的距離為x處,取長為dx的一段,其慣性力的大小為 
?08年考試規范、標準: 2008年一級注冊結構工程師考試成績查詢匯總
[例4―3―13] 長方形勻質薄板重W,以兩根等長的軟繩支持如圖4―3―37所示。設薄板在圖示位無初速地開始運動,圖中α=30°。求此時繩子中的拉力。

[解]
(1)對象 以平板的為研究對象。
(2)受力分析 運動開始時板受重力w、軟繩約束反力T1、T2。
(3)運動分析并虛加慣性力。
由約束條件知平板作平動,在運動開始時板上各點法向加速度為零,切向加速度垂直于軟繩,大小aτ=aA=aB=aC=lτ,ε為軟繩的角加速度,于是平板慣性力的合力

[例4―3―14] 質量為m,長為l的直桿AB的一端A焊接于半徑為r的水平圓盤邊緣上,如圖4-3-38(a)所示。令圓盤以角加速度ε繞其中心O轉動。求其開始轉動時AB桿上焊接處由于轉動而引起約束反力。并討論當圓盤以勻角速ω轉動時的情況。

[解] 以直桿AB為研究對象,由于直桿AB隨同圓盤一起繞固定點O以角加速度ε轉動,桿上所有的慣性力可以簡化為一個通O點的力RI,以及一個力偶M0I,其大小分別為:

[例4―3―151 ―質量為M的楔狀物置于光滑水平面上,在該物的斜面上又放一質量為m的均質圓柱如圖4―3―39a所示。設圓柱與斜面間的摩擦系數為f,求圓柱在斜面上作純滾動時f應滿足何條件?

[解] 欲使圓柱在斜面上作純滾動,應滿足F≤fN,或f≥F/N。為此,需先求出F與N,現用動靜法求解。
這是兩個自由度問題。設楔狀物的加速度為a,圓柱相對于斜面作純滾動,其角加速度為ε,則根據加速度合成定理,圓柱的質心C的加速度為
ac=a+ar
其中ar=rε
取整體為研究對象,主動力、約束反力和虛加的慣性力、慣性力偶矩如圖4―3―39(a)所示。根據動靜法,列平衡方程


從本題的求解過程可見,采用動靜法解題,可以充分發揮靜力學中靈活選取研究對象、巧妙選取矩心和投影軸的優點。
最新資訊
- 2025年一級注冊結構工程師考前實戰試題解析:突破考試瓶頸的終極指南‌2025-10-13
- 2025年一級注冊結構工程師常考知識點2025-02-17
- 2025年二級注冊結構工程師高頻知識點2025-02-17
- 2024年度二級注冊結構工程師專業考試資料:規范、標準、規程2024-08-13
- 2024年度一級注冊結構工程師專業考試資料:規范、標準、規程2024-08-13
- 環球網校雙11預售開啟!定金百倍膨脹,直播再返現金2023-10-25
- 環球網校結構工程師雙11活動來啦,限時優惠!2023-10-25
- 注冊結構工程師考試大綱下載2023-05-16
- 2023年一級注冊結構工程師考試大綱內容2023-04-14
- 2023年結構工程師教材內容變動對比2023-04-10