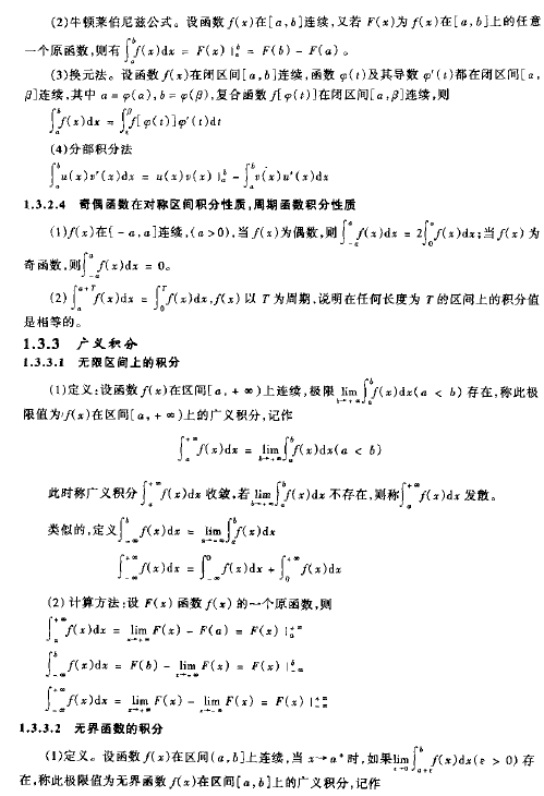
2014年注冊電氣工程師基礎考試教材(供配電)第一章(3)
更新時間:2013-11-07 08:51:45
來源:|0
瀏覽
收藏
電氣工程師報名、考試、查分時間 免費短信提醒
摘要 2014年注冊電氣工程師基礎考試教材(供配電)第一章(3)
編輯推薦
最新資訊
- 2025年電氣工程師必須掌握的核心知識點2025-01-03
- 環球網校雙11活動來襲,電氣工程師超值好課助力備考2023-10-25
- 環球網校雙11預售開啟!搶百倍膨脹抵扣,超多福利2023-10-25
- 2022注冊電氣工程師備考資料2022-10-18
- 2022注冊電氣工程師基礎考試資料2022-10-14
- 2022年注冊電氣工程師專業基礎教材變動對比2022-05-11
- 2022年電氣工程師專業基礎教材變動對比2022-05-11
- 2020年電氣工程師考試《發輸變電》知識點:熔電器的特點2020-09-21
- 2020年電氣工程師考試《發輸變電》知識點:動投入裝置2020-09-21
- 2020年電氣工程師考試《發輸變電》知識點:網絡與布線2020-09-21










