電氣工程師輔導資料:有效值、平均值和平均功率
更新時間:2010-09-25 10:41:29
來源:|0
瀏覽
收藏
電氣工程師報名、考試、查分時間 免費短信提醒
有效值
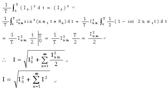
任意周期電流電壓均為


由此可見,非正弦周期電流的有效值等于它的直流分量及各諧波分量有效值的平方之和的平方根。

平均功率
1、設二端網絡的周期電壓、電流為

查看更多內容: 電氣工程師考試頻道 電氣工程師課程試聽 電氣工程師考試論壇
·2011年電氣工程師考試網上輔導招生簡章!
·2011年電氣工程師考試時間預測為9月17、18日
·注冊電氣工程師執業資格考試內容簡介
·權威老師主講2011年電氣工程師輔導課程
編輯推薦
最新資訊
- 2025年電氣工程師必須掌握的核心知識點2025-01-03
- 環球網校雙11活動來襲,電氣工程師超值好課助力備考2023-10-25
- 環球網校雙11預售開啟!搶百倍膨脹抵扣,超多福利2023-10-25
- 2022注冊電氣工程師備考資料2022-10-18
- 2022注冊電氣工程師基礎考試資料2022-10-14
- 2022年注冊電氣工程師專業基礎教材變動對比2022-05-11
- 2022年電氣工程師專業基礎教材變動對比2022-05-11
- 2020年電氣工程師考試《發輸變電》知識點:熔電器的特點2020-09-21
- 2020年電氣工程師考試《發輸變電》知識點:動投入裝置2020-09-21
- 2020年電氣工程師考試《發輸變電》知識點:網絡與布線2020-09-21