欧美老妇人XXXX-天天做天天爱天天爽综合网-97SE亚洲国产综合在线-国产乱子伦精品无码专区

當前位置: 首頁 > 成人高考 > 成人高考歷年試題 > 2009年成人高考專升本高數(二)真題答案

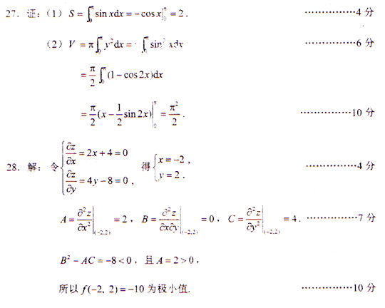
2009年成人高考專升本高數(二)真題答案

更新時間:2009-10-26 08:42:20 來源:|0 瀏覽0收藏0

成人高考報名、考試、查分時間 免費短信提醒

地區

獲取驗證 立即預約

請填寫圖片驗證碼后獲取短信驗證碼

看不清楚,換張圖片

免費獲取短信驗證碼

分享到: 編輯:環球網校

資料下載 精選課程 老師直播 真題練習

成人高考資格查詢

成人高考歷年真題下載 更多

成人高考每日一練 打卡日歷

0
累計打卡
0
打卡人數
去打卡

預計用時3分鐘

成人高考各地入口
環球網校移動課堂APP 直播、聽課。職達未來!

安卓版

下載

iPhone版

下載

返回頂部